
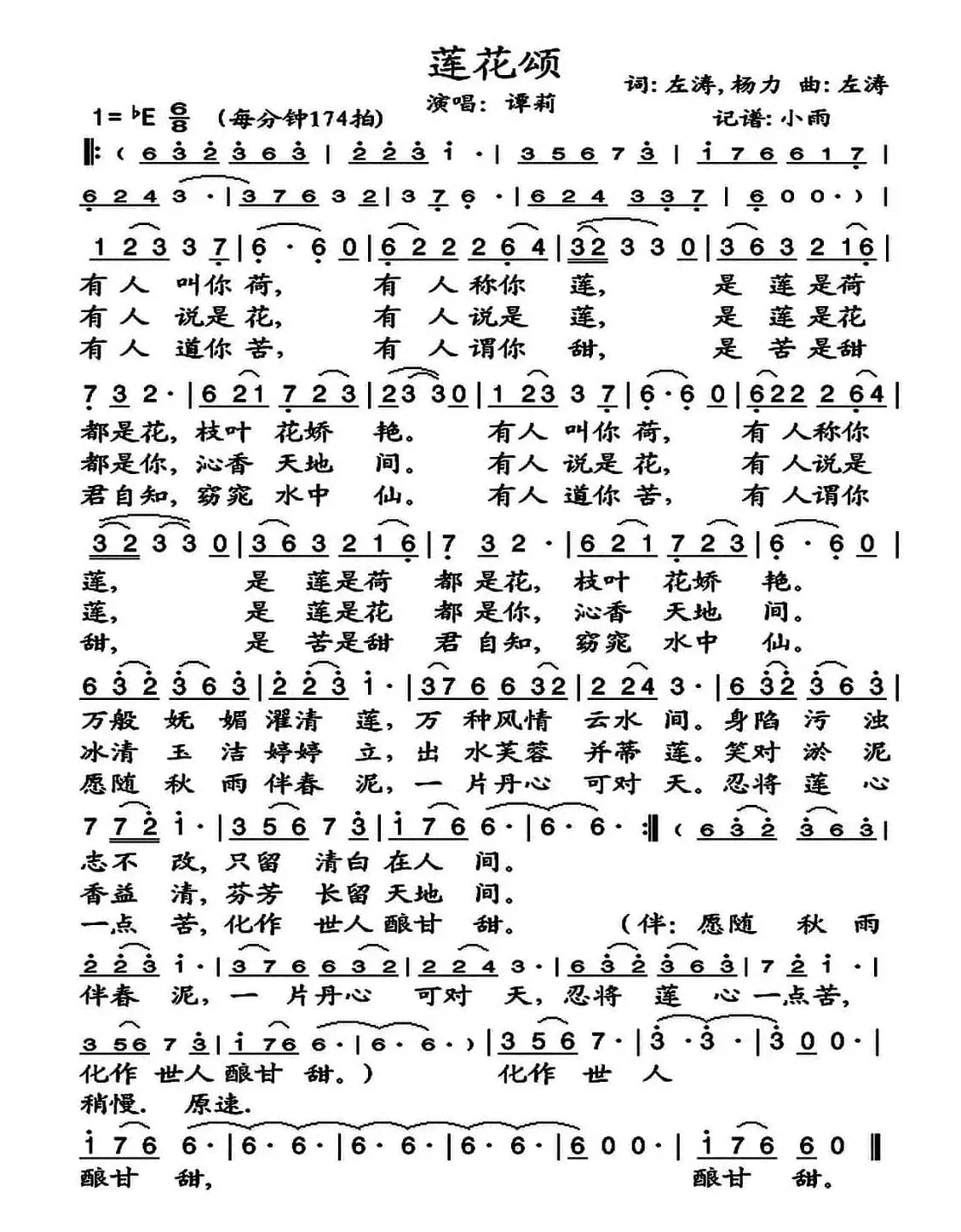
莲花颂_歌谱投稿_词曲:左涛、杨力 左涛简谱歌词是曲谱查询网于2023年03月28日 03:38:56更新在曲谱投稿频道中的内容,收录在曲谱投稿栏目中;曲谱查询网分享的莲花颂_歌谱投稿_词曲:左涛、杨力 左涛简谱五线谱高清图片,欢迎在线免费下载;曲谱查询网无需注册,即可直接下载海量歌曲谱与乐器学习相关资料。
曲谱查询网收录古今中外海量歌曲谱,如歌曲简谱、乐曲五线谱、PDF乐谱、戏曲谱、器乐相关资源下载等,欢迎查阅!

莲花颂_歌谱投稿_词曲:左涛、杨力 左涛简谱歌词是曲谱查询网于2023年03月28日 03:38:56更新在曲谱投稿频道中的内容,收录在曲谱投稿栏目中;曲谱查询网分享的莲花颂_歌谱投稿_词曲:左涛、杨力 左涛简谱五线谱高清图片,欢迎在线免费下载;曲谱查询网无需注册,即可直接下载海量歌曲谱与乐器学习相关资料。
本文展示由瓦莲金娜 记谱上传记谱的歌谱 [英]仁哉,耶稣!,词/曲 薛范 译配,演唱 …欢迎免费试听[英]仁哉,耶稣!乐曲,下载歌曲的乐谱与伴奏。...
606 [英]仁哉 耶稣!本文分享来自 神仙姐姐 的歌谱 纠缠(电视剧《新白娘子传奇》),词/曲 何启宏 左宏元,演唱 裘海正…欢迎免费下载纠缠(电视剧《新白娘子传奇》)乐谱、乐曲、伴奏,...
906 纠缠 何启宏 左宏元 裘海正本文分享来自 吴海波 的歌谱 相思([唐]王维词 吴海波曲),词/曲 [唐]王维 吴海波,演唱 …欢迎免费下载相思([唐]王维词 吴海波曲)乐谱、乐曲、伴奏,...
668 相思 [唐]王维 吴海波本文展示由秋叶起舞 记谱上传记谱的歌谱 歌在飞,词/曲 侯长春 侯长春,演唱 苏勒亚其其格…欢迎免费试听歌在飞乐曲,下载歌曲的乐谱与伴奏。谱友论坛上传了全套资料:《歌在飞》文本歌词歌在飞演唱:苏勒亚其其格1、一...
265 歌在飞 侯长春 侯长春苏勒亚其其格本文展示由绿水青山 记谱上传记谱的歌谱 枣木杠子的故事,词/曲 王兆甫 付林,演唱 …欢迎免费试听枣木杠子的故事乐曲,下载歌曲的乐谱与伴奏。...
56 枣木杠子的故事 王兆甫 付林本文分享来自 张zhigao001 的歌谱 超越梦想(胡铮词 王晓锋曲),词/曲 胡铮 王晓锋,演唱 汪正正…欢迎免费下载超越梦想(胡铮词 王晓锋曲)乐谱、乐曲、伴奏,...
387 超越梦想 胡铮 王晓锋 汪正正本文展示由秋叶起舞记谱上传记谱的歌谱 一恋万年,词/曲 孔令军 谢谦,演唱 容中尔甲…欢迎免费试听一恋万年乐曲,下载歌曲的乐谱与伴奏。《一恋万年》文本歌词一恋万年演唱:容中尔甲作词:孔令军作曲:谢谦编曲:郭江伟每一缕阳光的相约都明媚绽放的笑脸每一次心动的花开都喜悦美丽的遇见每一条走过的路边都有你摇曳...
224 一恋万年 孔令军 谢谦 容中尔甲本文分享来自 铁军原创 的歌谱 最美的风景画图(中国音乐家音像出版社出版),词/曲 洪昌、铁君 铁君,演唱 朱跃明…欢迎免费下载最美的风景画图(中国音乐家音像出版社出版)乐谱、乐曲、伴奏,...
282 最美的风景画图 铁君 朱跃明本文展示由神仙姐姐记谱记谱的歌谱 放逐爱情(《痞子英雄》插曲),词/曲 张义欣 张义欣,演唱 解伟苓…欢迎免费试听放逐爱情(《痞子英雄》插曲)乐曲,下载歌曲的乐谱与伴奏。...
353 放逐爱情 张义欣 张义欣解伟苓| 留言与评论(共有 0 条评论) |
