名称:问一声大别山
艺术家:无
国家:中国
作词:李春吟
作曲:朱胜
演唱:无
分类:曲谱
子类:投稿
类型:简谱/五线谱
文件格式:jpg


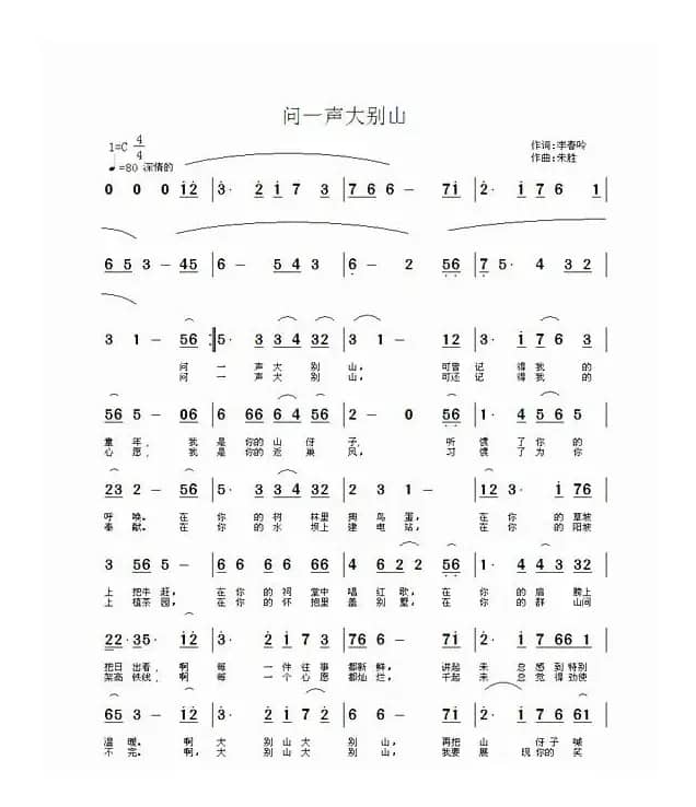
《问一声大别山》文本歌词
问一声大别山
作词 :李春吟
作曲 :朱胜
问一声大别山,
可曾记得我的童年?
我是你的山伢子,
听惯了你的呼唤。
在你的树林里掏鸟蛋,
在你的草坡上把牛赶,
在你的祠堂中唱红歌,
在你的肩膀上把日出看……
每一件往事都新鲜,
讲起来总感到特别温暖。
啊,大别山呀大别山,
再把山伢子喊一喊。
问一声大别山,
可还记得我的心愿?
我是你的返巢凤,
习惯了为你奉献。
在你的水坝上建电站,
在你的阳坡上植茶园,
在你的怀抱里盖别墅,
在你的群山间架高铁线……
每一个心愿都灿烂,
干起来总觉得劲使不完。
啊,大别山呀大别山,
我要展现你的笑脸!












