
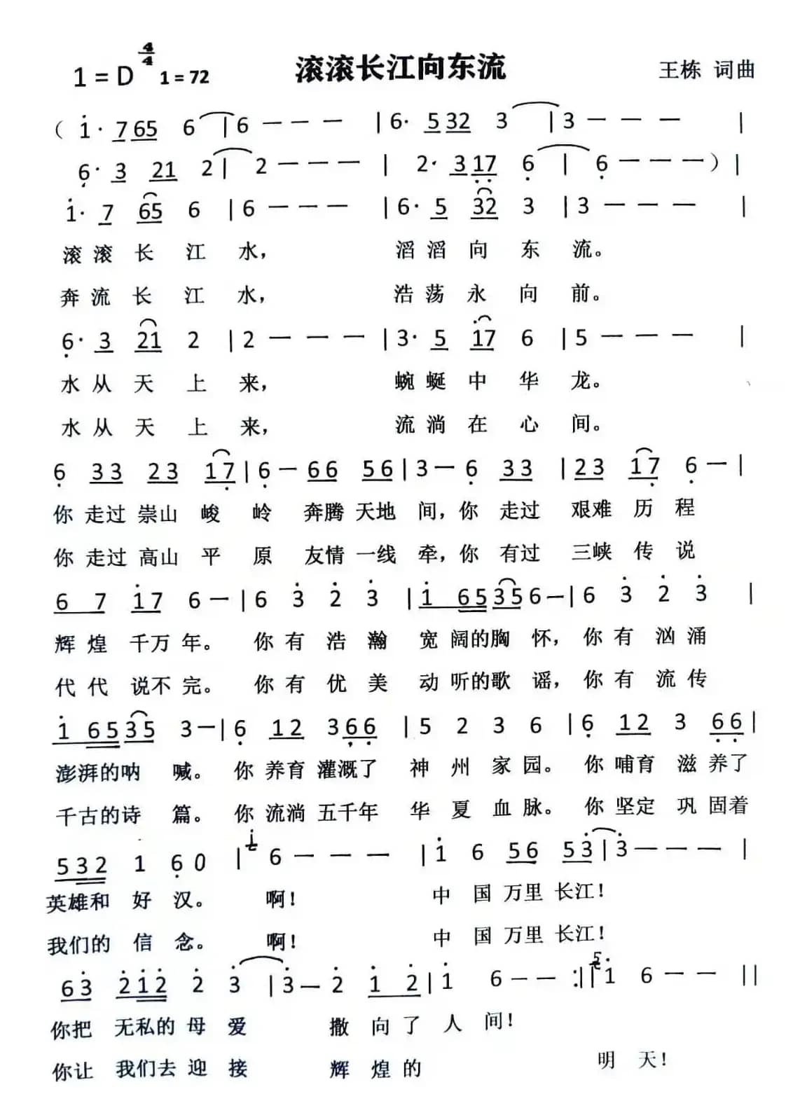
滚滚长江向东流_歌谱投稿_词曲:王栋 王栋简谱歌词是曲谱查询网于2023年04月12日 09:32:56更新在曲谱投稿频道中的内容,收录在曲谱投稿栏目中;曲谱查询网分享的滚滚长江向东流_歌谱投稿_词曲:王栋 王栋简谱五线谱高清图片,欢迎在线免费下载;曲谱查询网无需注册,即可直接下载海量歌曲谱与乐器学习相关资料。
曲谱查询网收录古今中外海量歌曲谱,如歌曲简谱、乐曲五线谱、PDF乐谱、戏曲谱、器乐相关资源下载等,欢迎查阅!

滚滚长江向东流_歌谱投稿_词曲:王栋 王栋简谱歌词是曲谱查询网于2023年04月12日 09:32:56更新在曲谱投稿频道中的内容,收录在曲谱投稿栏目中;曲谱查询网分享的滚滚长江向东流_歌谱投稿_词曲:王栋 王栋简谱五线谱高清图片,欢迎在线免费下载;曲谱查询网无需注册,即可直接下载海量歌曲谱与乐器学习相关资料。
本文分享来自 ~金沙浪~ 的歌谱 回家的路(小客词 孙成芳曲),词/曲 小客 孙成芳,演唱 吕静…欢迎免费下载回家的路(小客词 孙成芳曲)乐谱、乐曲、伴奏,...
811 回家的路 小客 孙成芳 吕静本文展示由神仙姐姐记谱记谱的歌谱 千年的美人万年的爱,词/曲 李荫保 声部,演唱 声部…欢迎免费试听千年的美人万年的爱乐曲,下载歌曲的乐谱与伴奏。...
28 千年的美人万年的爱 李荫保 声部声部本文展示由桃李醉春风记谱记谱的歌谱 风月渡口,词/曲 回程车 亦然,演唱 陈瑞…欢迎免费试听风月渡口乐曲,下载歌曲的乐谱与伴奏。歌曲试听:http://www.music888.net/article/2010/0924/article_10165.html...
420 风月渡口 回程车 亦然 陈瑞本文展示由桃李醉春风记谱记谱的歌谱 柳暗花明,词/曲 赵大鸣 冯晓泉 冯晓泉,演唱 冯晓泉 曾格格…欢迎免费试听柳暗花明乐曲,下载歌曲的乐谱与伴奏。《柳暗花明》文本歌词柳暗花明冯晓泉曾格格似有似无风摇着月影且停且住雨打着窗棂春宵从来苦短又多我几分心中牵挂孤灯最是夜长听谁人诉说梦里幽情远去了暮鼓晨钟望...
209 柳暗花明 格格本文展示由桃李醉春风记谱记谱的歌谱 我又爱错了人,词/曲 贝若德华 贝若德华,演唱 袁晨…欢迎免费试听我又爱错了人乐曲,下载歌曲的乐谱与伴奏。...
986 我又爱错了人 贝若德华 贝若德华袁晨本文分享来自 车里子 的歌谱 爱情不是想的那么美,词/曲 路庆国 李士兴,演唱 孙晓雨…欢迎免费下载爱情不是想的那么美乐谱、乐曲、伴奏,《爱情不是想的那么美》文本歌词爱上一个人是不是很美,花前月下说情话浪漫的滋味。梁山伯祝英台化蝶舞翩翩飞,还有那牛郎织女天仙配。爱上一个人并不是很美,爱到深处苦别离秋...
169 爱情不是想的那么美 路庆国 李士兴 孙晓雨本文分享来自 神仙姐姐 的歌谱 珍惜(电视剧《娘家的故事》上部主题曲),词/曲 杰米 杰米,演唱 龙千玉…欢迎免费下载珍惜(电视剧《娘家的故事》上部主题曲)乐谱、乐曲、伴奏,...
808 珍惜 杰米 龙千玉本文展示由秋叶起舞 记谱上传记谱的歌谱 我的妈妈(电视剧《我爱我夫我爱子》主题曲),词/曲 东函 纪明阳,演唱 李羿慧…欢迎免费试听我的妈妈(电视剧《我爱我夫我爱子》主题曲)乐曲,下载歌曲的乐谱与伴奏。...
712 我的妈妈 东函 纪明阳 李羿慧本文分享来自 热爱音乐88 的歌谱 柔情水乡 ,词/曲 周治平 放牧蓝天,演唱 霓裳…欢迎免费下载柔情水乡 乐谱、乐曲、伴奏,...
354 柔情水乡 周治平 放牧蓝天 霓裳本文展示由王wzh制谱记谱的歌谱 巧手编出花竹帽,词/曲 邬大为 陈涤非,演唱 …欢迎免费试听巧手编出花竹帽乐曲,下载歌曲的乐谱与伴奏。...
835 巧手编出花竹帽 邬大为 陈涤非本文分享来自 叶子50 的歌谱 爱上贝克汉姆(老猫词/王蓉曲),词/曲 老猫 王蓉,演唱 王麟…欢迎免费下载爱上贝克汉姆(老猫词/王蓉曲)乐谱、乐曲、伴奏,...
824 爱上贝克汉姆 老猫 王蓉 王麟本文展示由神仙姐姐上传记谱的歌谱 奔向大海(马熙词 纪普曲),词/曲 马熙 纪普,演唱 …欢迎免费试听奔向大海(马熙词 纪普曲)乐曲,下载歌曲的乐谱与伴奏。...
781 奔向大海 马熙 纪普本文展示由桃李醉春风记谱记谱的歌谱 觉悟(《笑傲江湖》插曲),词/曲 于正 谭旋,演唱 袁姗姗…欢迎免费试听觉悟(《笑傲江湖》插曲)乐曲,下载歌曲的乐谱与伴奏。...
610 觉悟 于正 谭旋袁姗姗| 留言与评论(共有 0 条评论) |
