
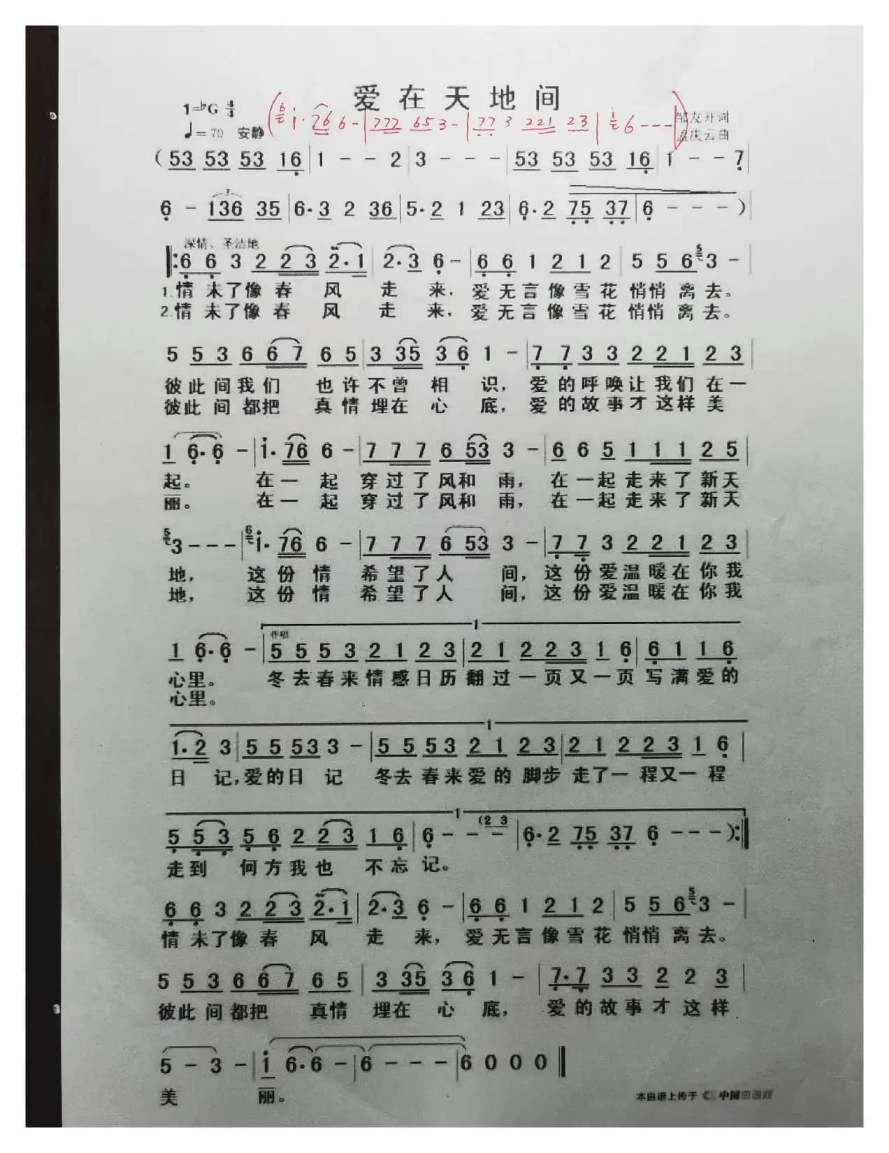
爱在天地间_歌谱投稿_词曲:邹友开 孟庆云简谱歌词是曲谱查询网于2023年04月12日 23:50:31更新在曲谱投稿频道中的内容,收录在曲谱投稿栏目中;曲谱查询网分享的爱在天地间_歌谱投稿_词曲:邹友开 孟庆云简谱五线谱高清图片,欢迎在线免费下载;曲谱查询网无需注册,即可直接下载海量歌曲谱与乐器学习相关资料。
曲谱查询网收录古今中外海量歌曲谱,如歌曲简谱、乐曲五线谱、PDF乐谱、戏曲谱、器乐相关资源下载等,欢迎查阅!

爱在天地间_歌谱投稿_词曲:邹友开 孟庆云简谱歌词是曲谱查询网于2023年04月12日 23:50:31更新在曲谱投稿频道中的内容,收录在曲谱投稿栏目中;曲谱查询网分享的爱在天地间_歌谱投稿_词曲:邹友开 孟庆云简谱五线谱高清图片,欢迎在线免费下载;曲谱查询网无需注册,即可直接下载海量歌曲谱与乐器学习相关资料。
本文分享来自 牧歌《图画之声》 的歌谱 我的祖国美(牧歌词 邓保信曲、2首),词/曲 牧歌 邓保信,演唱 …欢迎免费下载我的祖国美(牧歌词 邓保信曲、2首)乐谱、乐曲、伴奏,《我的祖国美》文本歌词我 的 祖 国 美喜悦、赞美地作者:牧 歌□a. 我的祖国美, a’我的祖国美,山川多青翠; 江海号角吹...
253 我的祖国美 牧歌 邓保信 祖国本文展示由桃李醉春风记谱记谱的歌谱 好想你(李焯雄词 林松锦曲),词/曲 李焯雄 林松锦,演唱 蔡依林…欢迎免费试听好想你(李焯雄词 林松锦曲)乐曲,下载歌曲的乐谱与伴奏。《好想你》文本歌词歌名:好想你歌手:蔡依林词:李焯雄曲:林松锦我喜欢你紧握我的手一股安全的暖流渗透到胸口我喜欢你叫我的语气理直气...
379 好想你 李焯雄 林松锦蔡依林本文分享来自 微584411678 的歌谱 菩萨蛮合唱谱女声三部,词/曲 温庭筠 刘欢,演唱 春天合唱团…欢迎免费下载菩萨蛮合唱谱女声三部乐谱、乐曲、伴奏,...
158 菩萨蛮合唱谱女声三部 温庭筠 刘欢 春天合唱团本文分享来自 天韵吉他双楠 的歌谱 蓝莲花(蓝莲花),词/曲 许巍 许巍,演唱 许巍…欢迎免费下载蓝莲花(蓝莲花)乐谱、乐曲、伴奏,...
356 蓝莲花 许巍 莲本文展示由欣曲制谱记谱的歌谱 [德] 夜半军号,词/曲 德国民歌 盛茵译配,演唱 …欢迎免费试听[德] 夜半军号乐曲,下载歌曲的乐谱与伴奏。...
873 德国民歌 盛茵译配本文展示由sunzp制谱记谱的歌谱 我赶着大车跑得欢,词/曲 肖杰 于林青,演唱 佚名…欢迎免费试听我赶着大车跑得欢乐曲,下载歌曲的乐谱与伴奏。...
468 我赶着大车跑得欢 肖杰 于林青佚名本文分享来自 木子牛 的歌谱 又逢深秋,词/曲 孙书林 于海利,演唱 铁木…欢迎免费下载又逢深秋乐谱、乐曲、伴奏,...
373 又逢深秋 孙书林 于海利 铁木本文展示由乐友sunzp 制谱上传|记谱的歌谱 娘子军操练(片断一),词/曲 ,演唱 …欢迎免费试听娘子军操练(片断一)乐曲,下载歌曲的乐谱与伴奏。...
35 娘子军操练| 留言与评论(共有 0 条评论) |
