

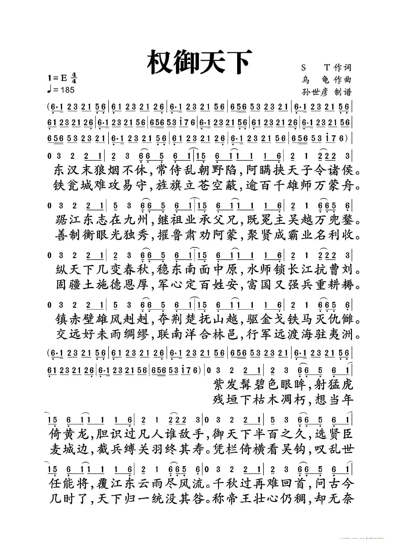
权御天下_歌谱投稿_词曲:ST 乌龟简谱歌词是曲谱查询网于2023年04月20日 14:37:00更新在曲谱投稿频道中的内容,收录在曲谱投稿栏目中;曲谱查询网分享的权御天下_歌谱投稿_词曲:ST 乌龟简谱五线谱高清图片,欢迎在线免费下载;曲谱查询网无需注册,即可直接下载海量歌曲谱与乐器学习相关资料。
曲谱查询网收录古今中外海量歌曲谱,如歌曲简谱、乐曲五线谱、PDF乐谱、戏曲谱、器乐相关资源下载等,欢迎查阅!


权御天下_歌谱投稿_词曲:ST 乌龟简谱歌词是曲谱查询网于2023年04月20日 14:37:00更新在曲谱投稿频道中的内容,收录在曲谱投稿栏目中;曲谱查询网分享的权御天下_歌谱投稿_词曲:ST 乌龟简谱五线谱高清图片,欢迎在线免费下载;曲谱查询网无需注册,即可直接下载海量歌曲谱与乐器学习相关资料。
本文展示由棺材瓤子记谱记谱的歌谱 无题(电视剧《打狗棍》插曲),词/曲 不详,演唱 姚贝娜…欢迎免费试听无题(电视剧《打狗棍》插曲)乐曲,下载歌曲的乐谱与伴奏。...
119 无题 姚贝娜本文分享来自 网峰飘逸 的歌谱 你说不会让我一个人走,词/曲 一歌 灿烂阿龙,演唱 灿烂阿龙…欢迎免费下载你说不会让我一个人走乐谱、乐曲、伴奏,《你说不会让我一个人走》文本歌词你说不会让我一个人走作词:一歌作曲:灿烂阿龙演唱:灿烂阿龙你说不会让我一个人走心就默默为你停留等到失去了你的温柔还...
886 你说不会让我一个人走 一歌 灿烂阿龙本文分享来自 燕子 的歌谱 楚天阔(蒋燕 词曲),词/曲 蒋燕,词 蒋燕 曲,演唱 …欢迎免费下载楚天阔(蒋燕 词曲)乐谱、乐曲、伴奏,《楚天阔》文本歌词 辽阔飞黄鹤。楚天高、云蒸四海。霞生千壑。 尽有其中英雄气。涤荡凡尘善恶。且莫问、谁强谁弱。 只是光阴寂寥去。葬青山、也...
298 楚天阔 蒋燕 词本文分享来自 秋叶起舞 的歌谱 挑起歌本找对头(穿号子),词/曲 ,演唱 …欢迎免费下载挑起歌本找对头(穿号子)乐谱、乐曲、伴奏,湖北五峰民歌,《中国音乐》刊发。...
652 挑起歌本找对头本文展示由E网音乐教室记谱的歌谱 愤怒的小鸟,词/曲 ,演唱 刘冬…欢迎免费试听愤怒的小鸟乐曲,下载歌曲的乐谱与伴奏。原谱试听:http://www.chaodikong.com/article/2012/0330/article_22420.html...
14 愤怒的小鸟刘冬本文展示由王wzh制谱记谱的歌谱 黄河涛声,词/曲 李众 宋小兵,演唱 黄河涛…欢迎免费试听黄河涛声乐曲,下载歌曲的乐谱与伴奏。...
734 黄河涛声 李众 宋小兵黄河涛本文展示由桃李醉春风记谱记谱的歌谱 用心爱你你不懂,词/曲 ,演唱 田一龙…欢迎免费试听用心爱你你不懂乐曲,下载歌曲的乐谱与伴奏。歌曲试听:http://www.music888.net/article/2010/0730/article_9399.html...
857 用心爱你你不懂田一龙本文展示由Z.E.Z.制作记谱的歌谱 报喜(长征组歌《红军不怕远征难》之九),词/曲 肖华 晨耕 生茂 唐诃 遇秋,演唱 …欢迎免费试听报喜(长征组歌《红军不怕远征难》之九)乐曲,下载歌曲的乐谱与伴奏。...
141 报喜 肖华本文分享来自 彩虹老陈 的歌谱 迎宾曲 民乐合奏(总谱),词/曲 轶名,演唱 陈谱编配…欢迎免费下载迎宾曲 民乐合奏(总谱)乐谱、乐曲、伴奏,...
257 轶名 陈谱编配本文展示由桃李醉春风 记谱上传记谱的歌谱 心爱的宝贝,词/曲 韩超 韩超,演唱 姜鹏…欢迎免费试听心爱的宝贝乐曲,下载歌曲的乐谱与伴奏。试听地址:http://www.yue365.com/play/5921/229574.shtmlhttp://www.qq190.com/play/4709/2...
208 心爱的宝贝 韩超 姜鹏本文分享来自 黄河之水 的歌谱 闪亮的酒杯,词/曲 ,演唱 …欢迎免费下载闪亮的酒杯乐谱、乐曲、伴奏,《闪亮的酒杯》文本歌词闪亮的酒杯演唱:郭瓦.加毛吉闪亮的酒杯高举起哟这酒杯斟满了情和意祝愿朋友吉祥如意祝愿朋友一帆风顺欢聚的时刻虽然是这样的短暂哟友谊的花朵却开在我们的心里美好的回忆却留心我们的心...
64 闪亮的酒杯本文展示由神仙姐姐记谱记谱的歌谱 不只是朋友,词/曲 王中言 伍思凯,演唱 黄小琥…欢迎免费试听不只是朋友乐曲,下载歌曲的乐谱与伴奏。...
102 不只是朋友 王中言 伍思凯黄小琥本文展示由桃李醉春风记谱记谱的歌谱 瑞鹊仙歌,词/曲 马小瞳 乐正子大人,演唱 W.K. 竹桑…欢迎免费试听瑞鹊仙歌乐曲,下载歌曲的乐谱与伴奏。《瑞鹊仙歌》文本歌词瑞鹊仙歌——郭靖、黄蓉词:马小瞳曲:乐正子大人演唱:W.K.竹桑念白:明玥无双念白:雁霜寒透,正护月云轻。塞外笳鼓,边角又连营。寂寞!家...
404 瑞鹊仙歌 马小瞳本文分享来自 月亮村王小二 的歌谱 美美的新时代(原创),词/曲 王海椿 刘跃强,演唱 乌兰图雅…欢迎免费下载美美的新时代(原创)乐谱、乐曲、伴奏,...
188 美美的新时代 王海椿 刘跃强 乌兰图雅| 留言与评论(共有 0 条评论) |
