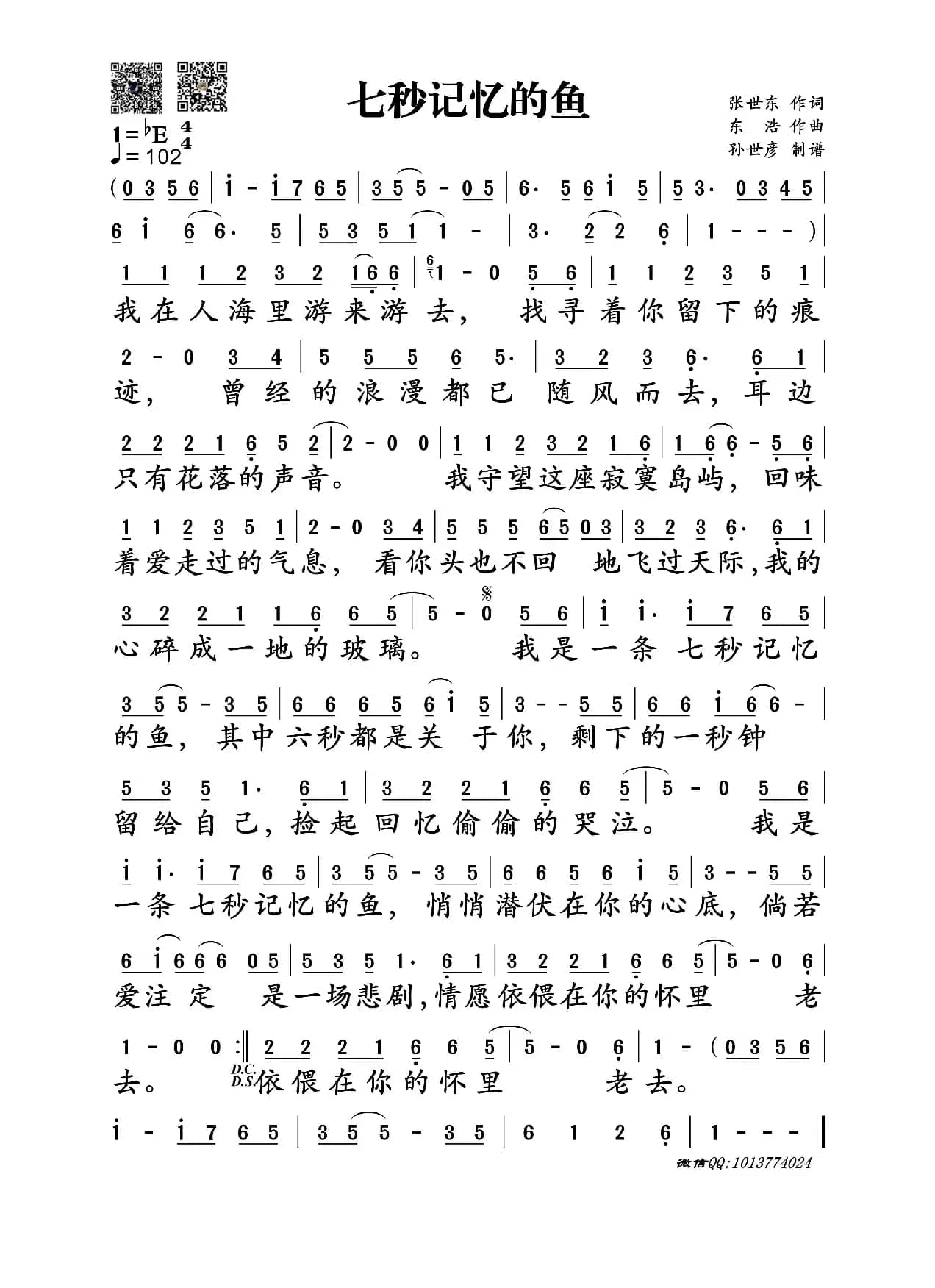
名称:七秒记忆的鱼
艺术家:赵真
国家:中国
作词:张世东
作曲:东浩
演唱:赵真
分类:曲谱
子类:投稿
类型:简谱/五线谱
文件格式:jpg

《七秒记忆的鱼 》文本歌词
七秒记忆的鱼
作词:张世东
作曲:东浩
制谱:孙世彦
我在人海里游来游去,
找寻着你留下的痕迹,
曾经的浪漫都已随风而去,
耳边只有花落的声音。
我守望这座寂寞岛屿,
回味着爱走过的气息,
看你头也不回地飞过天际,
我的心碎成一地的玻璃。
我是一条七秒记忆的鱼,
其中六秒都是关于你,
剩下的一秒钟留给自己,
捡起回忆偷偷的哭泣。
我是一条七秒记忆的鱼,
悄悄潜伏在你的心底,
倘若爱注定是一场悲剧,
情愿依偎在你的怀里老去。












