
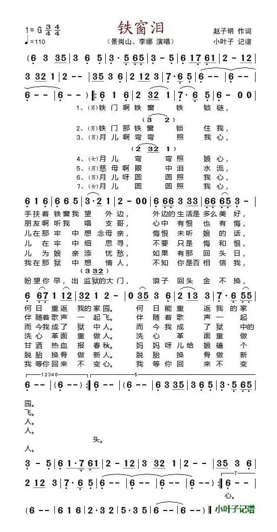
铁窗泪_歌谱投稿_词曲:赵子明简谱歌词是曲谱查询网于2023年04月23日 20:28:35更新在曲谱投稿频道中的内容,收录在曲谱投稿栏目中;曲谱查询网分享的铁窗泪_歌谱投稿_词曲:赵子明简谱五线谱高清图片,欢迎在线免费下载;曲谱查询网无需注册,即可直接下载海量歌曲谱与乐器学习相关资料。
曲谱查询网收录古今中外海量歌曲谱,如歌曲简谱、乐曲五线谱、PDF乐谱、戏曲谱、器乐相关资源下载等,欢迎查阅!

铁窗泪_歌谱投稿_词曲:赵子明简谱歌词是曲谱查询网于2023年04月23日 20:28:35更新在曲谱投稿频道中的内容,收录在曲谱投稿栏目中;曲谱查询网分享的铁窗泪_歌谱投稿_词曲:赵子明简谱五线谱高清图片,欢迎在线免费下载;曲谱查询网无需注册,即可直接下载海量歌曲谱与乐器学习相关资料。
本文展示由Z.E.Z.制作记谱的歌谱 国家,词/曲 王平久 金培达,演唱 成龙 刘媛媛…欢迎免费试听国家乐曲,下载歌曲的乐谱与伴奏。...
976 国家 王平久 刘媛媛本文分享来自 玩音乐的辉哥 的歌谱 不要为我哭,词/曲 牧野 火柴,演唱 红袖…欢迎免费下载不要为我哭乐谱、乐曲、伴奏,红袖演唱MP3试听:http://5sing.kugou.com/fc/5424009.html《不要为我哭》文本歌词看着你为我哭我真的好难过都说爱是幸福别用泪水去解读求求你不要...
919 不要为我哭 牧野 火柴 红袖本文分享来自 落红 的歌谱 我爱这土地,词/曲 艾青 陆在易,演唱 师乐…欢迎免费下载我爱这土地乐谱、乐曲、伴奏,...
35 我爱这土地 艾青 陆在易 师乐本文分享来自 老伯19 的歌谱 我爱我的家(夏歌 词曲),词/曲 夏歌 夏歌,演唱 …欢迎免费下载我爱我的家(夏歌 词曲)乐谱、乐曲、伴奏,...
365 我爱我的家 夏歌本文展示由桃李醉春风记谱记谱的歌谱 梨花雨(伯南词 王朝曲),词/曲 伯南 王朝,演唱 洛天依 王朝…欢迎免费试听梨花雨(伯南词 王朝曲)乐曲,下载歌曲的乐谱与伴奏。《梨花雨》文本歌词纤月抚梨树花径作廊庑有雀借小住临水清风入薄衣沾香雾隐隐春知处枕绵山细雨敲浅潭夜生寒恰空翠湿荷岸梦里三秋过已是芳尘尽染...
430 梨花雨 伯南本文分享来自 春秋zhmin 的歌谱 全民战疫务必赢(豫剧唱段伴奏),词/曲 春秋 春秋,演唱 春秋创作…欢迎免费下载全民战疫务必赢(豫剧唱段伴奏)乐谱、乐曲、伴奏,原创作品。旨在”声“援抗疫一线的英雄们!MP3试听:http://5sing.kugou.com/bz/3272618.htmlMV欣...
657 全民战疫务必赢 春秋 春秋创作本文分享来自 ~金沙浪~ 的歌谱 这山这水,词/曲 刘兴弟 唐青石,演唱 降央卓玛…欢迎免费下载这山这水乐谱、乐曲、伴奏,...
343 这山这水 刘兴弟 唐青石 降央卓玛本文展示由爱乐 制谱上传记谱的歌谱 盛世和韵,词/曲 朱海 印青,演唱 彭丽媛…欢迎免费试听盛世和韵乐曲,下载歌曲的乐谱与伴奏。简谱版《盛世和韵》文本歌词盛世和韵作词:朱海 作曲:印青 演唱:彭丽媛 啊...一个什么样的年代,让后来人称得上国泰民安,一个什么样的年代,让老百姓看得见盛世欢颜。...
219 盛世和韵 朱海 印青 彭丽媛| 留言与评论(共有 0 条评论) |
