
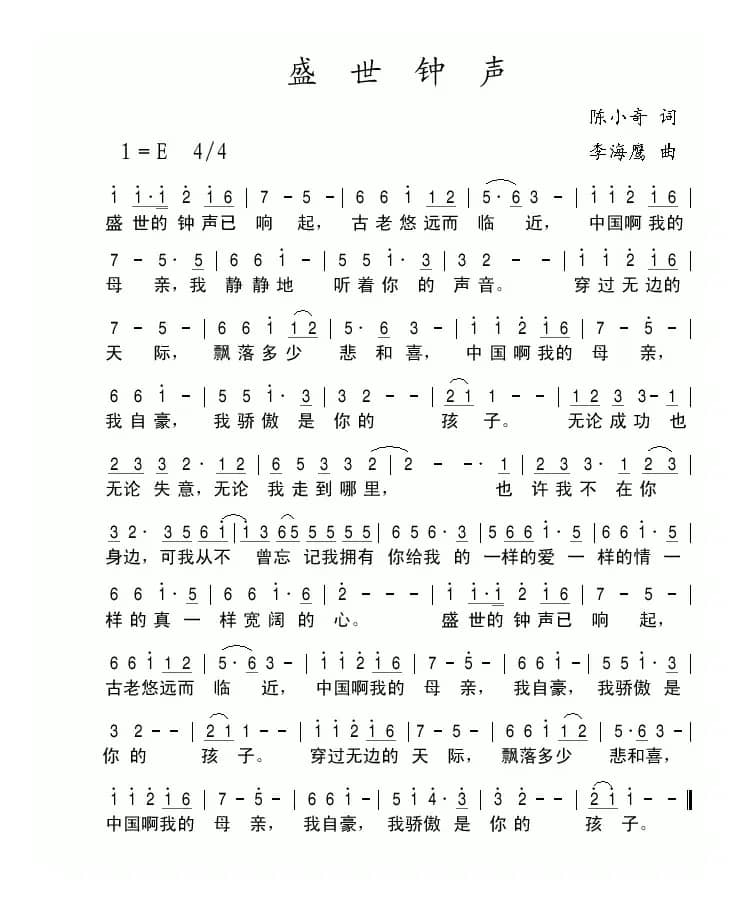
盛世钟声_歌谱投稿_词曲:陈小奇 李海鹰简谱歌词是曲谱查询网于2023年04月25日 07:45:15更新在曲谱投稿频道中的内容,收录在曲谱投稿栏目中;曲谱查询网分享的盛世钟声_歌谱投稿_词曲:陈小奇 李海鹰简谱五线谱高清图片,欢迎在线免费下载;曲谱查询网无需注册,即可直接下载海量歌曲谱与乐器学习相关资料。
曲谱查询网收录古今中外海量歌曲谱,如歌曲简谱、乐曲五线谱、PDF乐谱、戏曲谱、器乐相关资源下载等,欢迎查阅!

盛世钟声_歌谱投稿_词曲:陈小奇 李海鹰简谱歌词是曲谱查询网于2023年04月25日 07:45:15更新在曲谱投稿频道中的内容,收录在曲谱投稿栏目中;曲谱查询网分享的盛世钟声_歌谱投稿_词曲:陈小奇 李海鹰简谱五线谱高清图片,欢迎在线免费下载;曲谱查询网无需注册,即可直接下载海量歌曲谱与乐器学习相关资料。
本文分享来自 贞仟玖 的歌谱 前方的光芒(星辰乐队主题曲),词/曲 陈治明 陈治明-高剑峰,演唱 陈治明…欢迎免费下载前方的光芒(星辰乐队主题曲)乐谱、乐曲、伴奏,《前方的光芒》文本歌词陈治明 - 前方的光芒作词:陈治明作曲:陈治明编曲:陈治明、高剑峰原唱:星辰乐队成员:主唱:陈治明钢琴:陈治明主音...
971 前方的光芒 陈治明 陈治明-高剑峰本文分享来自 神仙姐姐 的歌谱 多情总为无情伤,词/曲 林秋离 黄大军,演唱 费玉清…欢迎免费下载多情总为无情伤乐谱、乐曲、伴奏,...
629 多情总为无情伤 林秋离 黄大军 费玉清本文展示由谱友行云流水001上传记谱的歌谱 葬花吟(葫芦丝独奏),词/曲 王立平,演唱 …欢迎免费试听葬花吟(葫芦丝独奏)乐曲,下载歌曲的乐谱与伴奏。...
623 葬花吟 王立平本文展示由谱友绿水青山记谱的歌谱 延边人民热爱毛主席,词/曲 ,演唱 范琳琳…欢迎免费试听延边人民热爱毛主席乐曲,下载歌曲的乐谱与伴奏。...
509 延边人民热爱毛主席 范琳琳本文分享来自 堂堂正正 的歌谱 没有母亲哪有自己,词/曲 唐金城 徐日曦,演唱 …欢迎免费下载没有母亲哪有自己乐谱、乐曲、伴奏,...
751 没有母亲哪有自己 唐金城 徐日曦本文展示由王wzh制谱记谱的歌谱 我是妈妈写的诗,词/曲 李幼容 雷立新,演唱 …欢迎免费试听我是妈妈写的诗乐曲,下载歌曲的乐谱与伴奏。...
670 我是妈妈写的诗 李幼容 雷立新本文分享来自 王qinnn 的歌谱 爱情的故事,词/曲 佛朗西斯.赖,演唱 …欢迎免费下载爱情的故事乐谱、乐曲、伴奏,...
553 爱情的故事 佛朗西斯赖本文展示由王wzh制谱记谱的歌谱 鱼儿靠的水流长,词/曲 胡沙 韩振华,演唱 …欢迎免费试听鱼儿靠的水流长乐曲,下载歌曲的乐谱与伴奏。...
17 鱼儿靠的水流长 胡沙 韩振华本文分享来自 默子 的歌谱 Five Hundred Miles,词/曲 Hedy West Hedy West,演唱 Peter Paul and Mary…欢迎免费下载Five Hundred Miles乐谱、乐曲、伴奏,...
160本文展示由谱友艾曲人上传记谱的歌谱 梦幻夜郎(葫芦丝独奏),词/曲 王登佳曲 王登佳曲,演唱 王登佳…欢迎免费试听梦幻夜郎(葫芦丝独奏)乐曲,下载歌曲的乐谱与伴奏。...
709 梦幻夜郎 王登佳曲 王登佳曲王登佳本文分享来自 天问地李 的歌谱 到敌人后方去(一),词/曲 赵启海 冼星海,演唱 上海乐团…欢迎免费下载到敌人后方去(一)乐谱、乐曲、伴奏,《到敌人后方去(一)》文本歌词《到敌人后方去》赵启海词 冼星海曲上海乐团 演唱Music到敌人后方去把鬼子赶出境!到敌人后方去把鬼子赶出境!不怕雨不怕风包后...
889 到敌人后方去 赵启海 冼星海 上海乐团本文展示由刘厚涛编配、制谱记谱的歌谱 他不爱我,词/曲 杨立德 陈小霞,演唱 莫文蔚…欢迎免费试听他不爱我乐曲,下载歌曲的乐谱与伴奏。《他不爱我》文本歌词他不爱我演唱:莫文蔚他不爱我牵手的时候太冷清拥抱的时候不够靠近他不爱我说话的时候不认真沉默的时候又太用心我知道他不爱我他的眼神 说出他的心我看透了...
592 他不爱我 杨立德 陈小霞莫文蔚| 留言与评论(共有 0 条评论) |
