致谢:《曲谱查询网》衷心感谢作者老师馈赠原版歌谱!

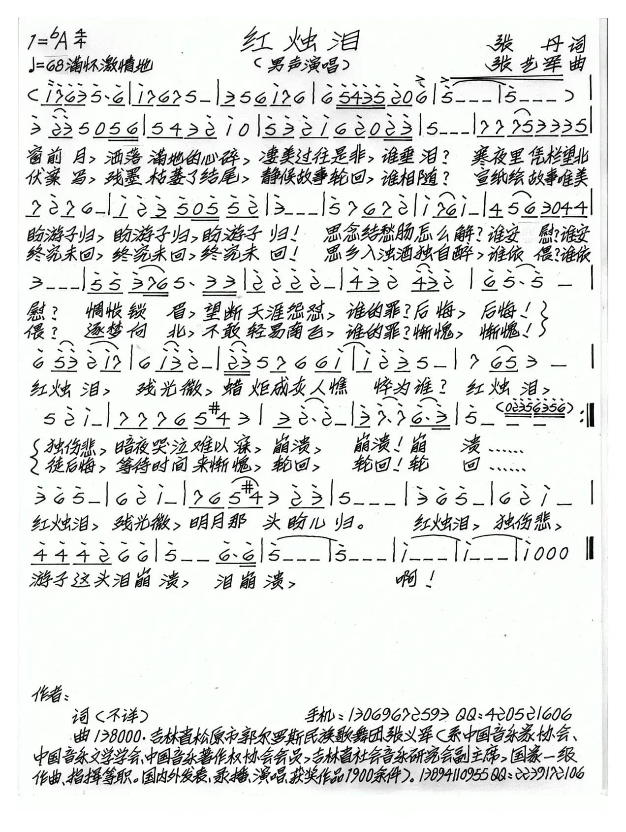
红烛泪_歌谱投稿_词曲:张丹 张艺军简谱歌词是曲谱查询网于2023年04月25日 09:10:33更新在曲谱投稿频道中的内容,收录在曲谱投稿栏目中;曲谱查询网分享的红烛泪_歌谱投稿_词曲:张丹 张艺军简谱五线谱高清图片,欢迎在线免费下载;曲谱查询网无需注册,即可直接下载海量歌曲谱与乐器学习相关资料。
曲谱查询网收录古今中外海量歌曲谱,如歌曲简谱、乐曲五线谱、PDF乐谱、戏曲谱、器乐相关资源下载等,欢迎查阅!
致谢:《曲谱查询网》衷心感谢作者老师馈赠原版歌谱!

红烛泪_歌谱投稿_词曲:张丹 张艺军简谱歌词是曲谱查询网于2023年04月25日 09:10:33更新在曲谱投稿频道中的内容,收录在曲谱投稿栏目中;曲谱查询网分享的红烛泪_歌谱投稿_词曲:张丹 张艺军简谱五线谱高清图片,欢迎在线免费下载;曲谱查询网无需注册,即可直接下载海量歌曲谱与乐器学习相关资料。
本文展示由秋叶起舞 记谱上传记谱的歌谱 白云的故乡(阿古拉泰词 宁林曲),词/曲 阿古拉泰 宁林,演唱 青燕子组合、陈洁丽领唱…欢迎免费试听白云的故乡(阿古拉泰词 宁林曲)乐曲,下载歌曲的乐谱与伴奏。...
515 白云的故乡 阿古拉泰 宁林青燕子组合 陈洁丽领唱本文展示由桃李醉春风记谱记谱的歌谱 走了这么久,词/曲 李小龙 陈翔宇,演唱 韩磊 刘婕…欢迎免费试听走了这么久乐曲,下载歌曲的乐谱与伴奏。《走了这么久》文本歌词走了这么久演唱:韩磊、刘婕走了这么久你变了没有是否脆弱的泪水还不轻易的流走了这么久你变了没有有没有找找到你说过的自由难道除了等待 我只有问...
713 走了这么久 李小龙 陈翔宇本文展示由乐友sunzp 制谱上传|记谱的歌谱 迎着黎明迅跑,词/曲 李国文 屠巴海,演唱 …欢迎免费试听迎着黎明迅跑乐曲,下载歌曲的乐谱与伴奏。...
751 迎着黎明迅跑 李国文 屠巴海本文分享来自 赵伟zhaowei 的歌谱 梦(赵伟词 张艺军曲),词/曲 赵伟 张艺军,演唱 …欢迎免费下载梦(赵伟词 张艺军曲)乐谱、乐曲、伴奏,...
525 梦 赵伟 张艺军本文展示由桃李醉春风记谱记谱的歌谱 谒长意惊茶,词/曲 乘物游心 Litterzy,演唱 司夏…欢迎免费试听谒长意惊茶乐曲,下载歌曲的乐谱与伴奏。《谒长意惊茶》文本歌词作曲:Litterzy作词:乘物游心唱:司夏抛梦枕上不弃衣薄三更描花研半壶月色千万载胸中自丘壑绘她眉眼跃然笔方搁堪世事多纠葛化池中白...
567 谒长意惊茶 乘物游心 Litterzy司夏本文展示由秋叶起舞记谱上传记谱的歌谱 多情等郎妹,词/曲 陈冠强 陈冠强,演唱 李莉…欢迎免费试听多情等郎妹乐曲,下载歌曲的乐谱与伴奏。等郎妹是旧时代客家地区的“童养媳”的别称。相传以前有个多情等郎妹,丈夫出外谋生,她日日在江边守候,直到地老天荒。MP3试听:http://5sing.kugou.c...
934 多情郎妹 陈冠强 陈冠强李莉本文分享来自 荒犁 的歌谱 冬泳之歌(合唱),词/曲 荒犁 赵永泉,演唱 …欢迎免费下载冬泳之歌(合唱)乐谱、乐曲、伴奏,...
434 冬泳之歌 荒犁 赵永泉本文展示由秋叶起舞 记谱上传记谱的歌谱 乌篷船恋歌,词/曲 陈日源 李杰,演唱 媛媛…欢迎免费试听乌篷船恋歌乐曲,下载歌曲的乐谱与伴奏。《乌篷船恋歌》文本歌词人生有一条 江有时湍急有时平缓心爱的人儿相伴艰难险阻也向前江中有一条乌篷船你摇桨来我掌船浪花在身旁飞歌声阵阵传两岸乌篷船啊乌篷...
204 乌篷船恋歌 陈日源 李杰媛媛本文分享来自 陈尊学 的歌谱 故乡是北京,词/曲 阎肃 姚明,演唱 李谷一…欢迎免费下载故乡是北京乐谱、乐曲、伴奏,《故乡是北京》文本歌词走遍了南北西东,也到过了许多古城静静的想一想,我还是最爱我的北京不说那,天坛的明月,北海的风芦沟桥的狮子,潭柘寺的松唱不够那红墙碧瓦的太和殿道不尽那十里长街卧彩虹...
137 故乡是北京 阎肃 姚明 李谷一本文展示由抄录记谱的歌谱 《红羊洞》为国家哪何曾半日闲空(京剧《红羊洞》选段、琴谱),词/曲 ,演唱 …欢迎免费试听《红羊洞》为国家哪何曾半日闲空(京剧《红羊洞》选段、琴谱)乐曲,下载歌曲的乐谱与伴奏。...
711 红羊洞为国家哪何曾半日闲空本文展示由王wzh制谱记谱的歌谱 踏雪寻梅,词/曲 刘雪庵 黄自,演唱 …欢迎免费试听踏雪寻梅乐曲,下载歌曲的乐谱与伴奏。...
556 踏雪寻梅 刘雪庵 黄自本文分享来自 细雨人闻 的歌谱 共和国之恋,词/曲 刘毅然 刘为光,演唱 殷秀梅、程志…欢迎免费下载共和国之恋乐谱、乐曲、伴奏,...
839 共和国之恋 刘毅然 刘为光本文展示由棺材瓤子记谱记谱的歌谱 故乡的我,词/曲 郑国江 科林,演唱 胡美仪…欢迎免费试听故乡的我乐曲,下载歌曲的乐谱与伴奏。《故乡的我》文本歌词故乡的我 作词:郑国江作曲:科 林歌手:胡美仪 我想将那一声珍重送给你代替心内许多送别词无论到何方心里亦记住故乡亲友多么想念你你应将故乡风貌印心里愿...
809 故乡的我 郑国江 科林胡美仪本文展示由秋叶起舞 记谱上传记谱的歌谱 我的家乡,歌的海洋,词/曲 孔德明 温永定,演唱 祁玉梅…欢迎免费试听我的家乡,歌的海洋乐曲,下载歌曲的乐谱与伴奏。内蒙古被誉为“歌的海洋”!不仅走出了许多著名歌唱家,而且创作了许多珍贵而优秀的歌曲。这首歌收录于著名女高音歌唱家祁玉梅的首张专辑《忘不了,这一天...
705 我的家乡 歌的海洋 孔德明 温永定祁玉梅本文展示由秋叶起舞 记谱上传记谱的歌谱 老乡(孙显宁词 曲成久曲),词/曲 孙显宁 ,演唱 朱鹏飞…欢迎免费试听老乡(孙显宁词 曲成久曲)乐曲,下载歌曲的乐谱与伴奏。应求助记谱试听地址:http://bbs.hao81.net/thread-111919-1-1.html歌词:《老乡》孙显宁 词...
305 老乡 孙显宁朱鹏飞| 留言与评论(共有 0 条评论) |
