
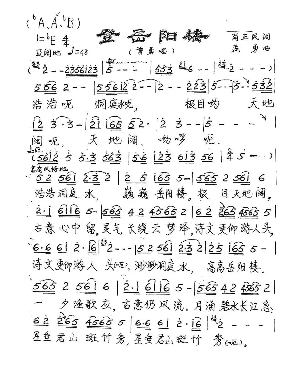
登岳阳楼_歌谱投稿_词曲:肖正明 孟勇简谱歌词是曲谱查询网于2023年04月26日 01:12:17更新在曲谱投稿频道中的内容,收录在曲谱投稿栏目中;曲谱查询网分享的登岳阳楼_歌谱投稿_词曲:肖正明 孟勇简谱五线谱高清图片,欢迎在线免费下载;曲谱查询网无需注册,即可直接下载海量歌曲谱与乐器学习相关资料。
曲谱查询网收录古今中外海量歌曲谱,如歌曲简谱、乐曲五线谱、PDF乐谱、戏曲谱、器乐相关资源下载等,欢迎查阅!

登岳阳楼_歌谱投稿_词曲:肖正明 孟勇简谱歌词是曲谱查询网于2023年04月26日 01:12:17更新在曲谱投稿频道中的内容,收录在曲谱投稿栏目中;曲谱查询网分享的登岳阳楼_歌谱投稿_词曲:肖正明 孟勇简谱五线谱高清图片,欢迎在线免费下载;曲谱查询网无需注册,即可直接下载海量歌曲谱与乐器学习相关资料。
本文展示由谱友艾曲人上传记谱的歌谱 婚恋(葫芦丝独奏),词/曲 王厚臣,演唱 王厚臣示范…欢迎免费试听婚恋(葫芦丝独奏)乐曲,下载歌曲的乐谱与伴奏。...
816 婚恋 王厚臣王厚臣示范本文展示由王wzh制谱记谱的歌谱 小路(庄奴词 汤尼曲),词/曲 庄奴 汤尼,演唱 邓丽君…欢迎免费试听小路(庄奴词 汤尼曲)乐曲,下载歌曲的乐谱与伴奏。...
142 小路 庄奴 汤尼 邓丽君本文展示由秋叶起舞 记谱上传记谱的歌谱 康乃馨(曾宏词 知力曲),词/曲 曾宏 知力,演唱 王莉…欢迎免费试听康乃馨(曾宏词 知力曲)乐曲,下载歌曲的乐谱与伴奏。《康乃馨》文本歌词天上一朵吉祥云,人间一朵康乃馨。纤细柔弱任风雨,风雨如晦花愈清。天上一朵吉祥云,人间一朵康乃馨。秋霜冬雪叶落去...
737 康乃馨 曾宏 知力王莉本文展示由桃李醉春风 记谱上传记谱的歌谱 贵妃,词/曲 晏菲 小昔米,演唱 …欢迎免费试听贵妃乐曲,下载歌曲的乐谱与伴奏。试听地址:http://www.51t.com/ting/FAF23B96/7CD66867/...
538 贵妃 晏菲 小昔米本文分享来自 ~金沙浪~ 的歌谱 相思家园(董树棠词 胡廷江曲),词/曲 董树棠 胡廷江,演唱 刘橙橙…欢迎免费下载相思家园(董树棠词 胡廷江曲)乐谱、乐曲、伴奏,...
905 相思家园 董树棠 胡廷江 刘橙橙本文展示由谱友天恩上传记谱的歌谱 做个文明中国人,词/曲 佚名 佚名,演唱 吴镇宇 黄子华 方达明…欢迎免费试听做个文明中国人乐曲,下载歌曲的乐谱与伴奏。吴镇宇洗脑神曲MV欣赏:http://video.sina.com.cn/p/ent/z/v/2014-07-18/152564073781.h...
268 做个文明中国人 佚名本文展示由秋叶起舞 记谱上传记谱的歌谱 人民满意,词/曲 焦随东 王晓光,演唱 吴姿霖…欢迎免费试听人民满意乐曲,下载歌曲的乐谱与伴奏。歌曲在:1、 http://yc.5sing.com/737387.html2、http://music.show160.com/446953《人民满意》文本歌词...
719 人民满意 焦随东 王晓光吴姿霖本文展示由sunzp抄谱记谱的歌谱 草原恋(韩冷词 张立中曲),词/曲 韩冷 张立中,演唱 姜嘉锵…欢迎免费试听草原恋(韩冷词 张立中曲)乐曲,下载歌曲的乐谱与伴奏。《草原恋》文本歌词草原那草原我可爱的家乡马背呀马背吆生命的摇篮你用圣洁的乳汁把我哺育你用深沉的歌声为我催眠那朝霞般的篝火给了我无限的温...
118 草原恋 韩冷 张立中姜嘉锵本文分享来自 秋叶起舞 的歌谱 妈妈(彭勃词 李翼曲),词/曲 彭勃 李翼,演唱 张书宝…欢迎免费下载妈妈(彭勃词 李翼曲)乐谱、乐曲、伴奏,《妈妈》文本歌词妈妈作曲:李翼 作词:彭勃 演唱:张书宝曾经为了一个新书包,我故意赌气整夜不回家,曾经为了一双新球鞋,我编了多少美丽的谎话,曾经为了...
994 妈妈 彭勃 李翼 张书宝本文分享来自 神仙姐姐 的歌谱 可可西里(何沐阳词曲),词/曲 何沐阳 何沐阳,演唱 凤凰传奇…欢迎免费下载可可西里(何沐阳词曲)乐谱、乐曲、伴奏,...
119 可可西里 何沐阳 凤凰传奇本文分享来自 pipahwa 的歌谱 後山癡情花,词/曲 邱宏瀛 黃明洲&吳舜華,演唱 喬幼…欢迎免费下载後山癡情花乐谱、乐曲、伴奏,致谢:《曲谱查询网》衷心感谢谱友上传曲谱!!...
528 後山癡情花 邱宏瀛 喬幼本文展示由秋叶起舞 记谱上传记谱的歌谱 为祖国喝彩(车行词 戚建波曲),词/曲 车行 戚建波,演唱 赵娜…欢迎免费试听为祖国喝彩(车行词 戚建波曲)乐曲,下载歌曲的乐谱与伴奏。《为祖国喝彩》文本歌词为祖国喝彩词:车行曲:戚建波唱:赵娜跨越风雨的长虹焕发你的神采飞跃星河的神舟加速你的节拍你的红旗我将用...
750 为祖国喝彩 车行 戚建波赵娜 祖国本文展示由桃李醉春风记谱记谱的歌谱 习惯——路绮欧,词/曲 ,演唱 路绮欧…欢迎免费试听习惯——路绮欧乐曲,下载歌曲的乐谱与伴奏。歌曲试听:http://www.music888.net/article/2010/0909/article_10056.html...
532 习惯—— 路绮欧| 留言与评论(共有 0 条评论) |
