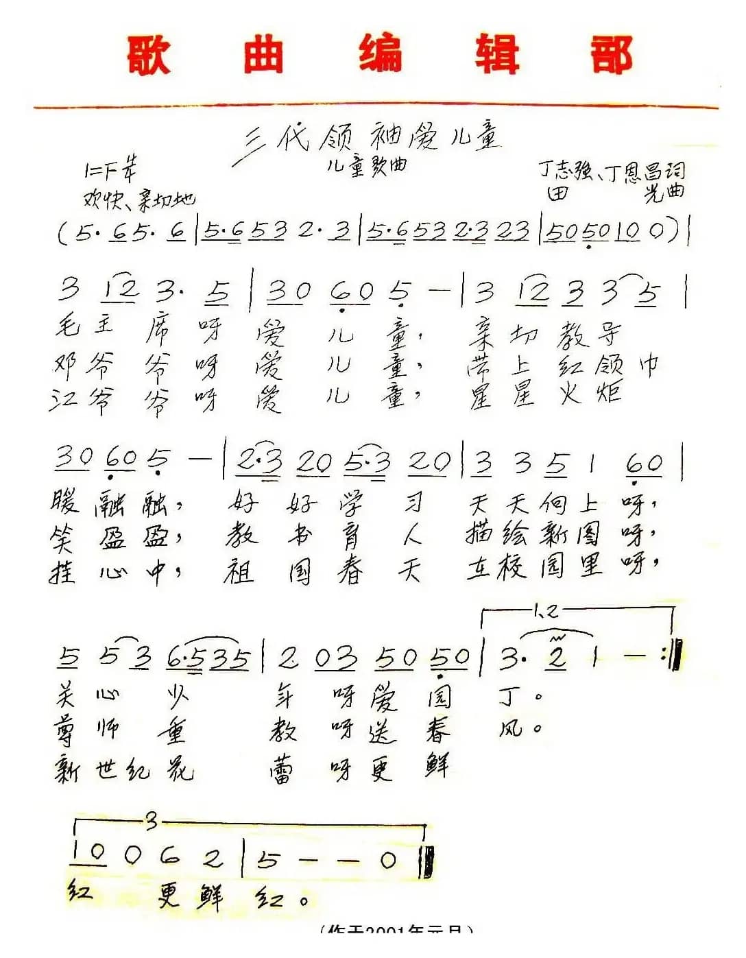
田光老师手稿

三代领袖爱儿童_歌谱投稿_词曲:丁志强 田光简谱歌词是曲谱查询网于2023年04月29日 21:31:58更新在曲谱投稿频道中的内容,收录在曲谱投稿栏目中;曲谱查询网分享的三代领袖爱儿童_歌谱投稿_词曲:丁志强 田光简谱五线谱高清图片,欢迎在线免费下载;曲谱查询网无需注册,即可直接下载海量歌曲谱与乐器学习相关资料。
曲谱查询网收录古今中外海量歌曲谱,如歌曲简谱、乐曲五线谱、PDF乐谱、戏曲谱、器乐相关资源下载等,欢迎查阅!
田光老师手稿

三代领袖爱儿童_歌谱投稿_词曲:丁志强 田光简谱歌词是曲谱查询网于2023年04月29日 21:31:58更新在曲谱投稿频道中的内容,收录在曲谱投稿栏目中;曲谱查询网分享的三代领袖爱儿童_歌谱投稿_词曲:丁志强 田光简谱五线谱高清图片,欢迎在线免费下载;曲谱查询网无需注册,即可直接下载海量歌曲谱与乐器学习相关资料。
本文展示由桃李醉春风记谱记谱的歌谱 笨蛋——金莎,词/曲 林秋离 张觉隆,演唱 金莎…欢迎免费试听笨蛋——金莎乐曲,下载歌曲的乐谱与伴奏。歌曲试听:http://www.music888.net/article/2010/0912/article_10088.html...
835 笨蛋——金莎 林秋离 张觉隆金莎本文展示由原创作品记谱的歌谱 为了美好的明天,词/曲 曾泉星 聂思聪,演唱 …欢迎免费试听为了美好的明天乐曲,下载歌曲的乐谱与伴奏。...
871 为了美好的明天 曾泉星 聂思聪本文展示由桃李醉春风记谱记谱的歌谱 大吉大利,词/曲 恭僖禧 恭僖禧,演唱 龙梅子、王麟…欢迎免费试听大吉大利乐曲,下载歌曲的乐谱与伴奏。...
262 大吉大利 恭僖禧 恭僖禧龙梅子 王麟本文展示由秋叶起舞 记谱上传记谱的歌谱 军营四季,词/曲 贺东久 印青,演唱 蔡国庆…欢迎免费试听军营四季乐曲,下载歌曲的乐谱与伴奏。试听地址:http://yc.5sing.com/356437.html...
263 军营四季 贺东久 印青蔡国庆本文展示由谱友空谷清音 制谱上传记谱的歌谱 红旗之歌,词/曲 高端明 何方,演唱 …欢迎免费试听红旗之歌乐曲,下载歌曲的乐谱与伴奏。...
697 红旗之歌 高端明 何方本文分享来自 海内老人 的歌谱 望江南,词/曲 陈兴玲 郭思冶,演唱 蒋牧含…欢迎免费下载望江南乐谱、乐曲、伴奏,...
763 望江南 陈兴玲 郭思冶 蒋牧含本文分享来自 神仙姐姐 的歌谱 燃灯之歌(浙版《西游记》插曲),词/曲 ,演唱 合唱…欢迎免费下载燃灯之歌(浙版《西游记》插曲)乐谱、乐曲、伴奏,...
83 燃灯之歌 合唱本文展示由桃李醉春风记谱记谱的歌谱 至少曾爱过,词/曲 玉镯儿 张超,演唱 尹子…欢迎免费试听至少曾爱过乐曲,下载歌曲的乐谱与伴奏。歌曲试听:http://www.music888.net/article/2010/0924/article_10164.html...
194 至少曾爱过 玉镯儿 张超尹子本文分享来自 青山123 的歌谱 水汪汪(尹建平词曲、手稿版),词/曲 尹建平 尹建平,演唱 吕继宏…欢迎免费下载水汪汪(尹建平词曲、手稿版)乐谱、乐曲、伴奏,...
439 水汪汪 尹建平 吕继宏本文展示由神仙姐姐记谱记谱的歌谱 倾情天涯(《仙剑奇侠传》插曲),词/曲 ,演唱 醉歌漫步…欢迎免费试听倾情天涯(《仙剑奇侠传》插曲)乐曲,下载歌曲的乐谱与伴奏。...
140 倾情天涯醉歌漫步本文分享来自 赏花赏月 的歌谱 肖邦b小调圆舞曲(op. 69 N.2)(Waltz in B Minor Opus 69 No. 2),词/曲 肖邦 肖邦,演唱 肖邦…欢迎免费下载肖邦b小调圆舞曲(op. 69 N.2)(Waltz in B Minor Opus 69 No. 2)乐谱、乐曲、伴...
792 肖邦b小调圆舞曲 肖邦| 留言与评论(共有 0 条评论) |
