
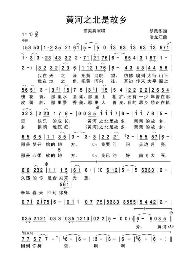
黄河之北是故乡_歌谱投稿_词曲:胡风华 潘龙江简谱歌词是曲谱查询网于2023年04月30日 00:22:27更新在曲谱投稿频道中的内容,收录在曲谱投稿栏目中;曲谱查询网分享的黄河之北是故乡_歌谱投稿_词曲:胡风华 潘龙江简谱五线谱高清图片,欢迎在线免费下载;曲谱查询网无需注册,即可直接下载海量歌曲谱与乐器学习相关资料。
曲谱查询网收录古今中外海量歌曲谱,如歌曲简谱、乐曲五线谱、PDF乐谱、戏曲谱、器乐相关资源下载等,欢迎查阅!

黄河之北是故乡_歌谱投稿_词曲:胡风华 潘龙江简谱歌词是曲谱查询网于2023年04月30日 00:22:27更新在曲谱投稿频道中的内容,收录在曲谱投稿栏目中;曲谱查询网分享的黄河之北是故乡_歌谱投稿_词曲:胡风华 潘龙江简谱五线谱高清图片,欢迎在线免费下载;曲谱查询网无需注册,即可直接下载海量歌曲谱与乐器学习相关资料。
本文分享来自 也牧 的歌谱 爱在心窝里1,词/曲 许继荣 徐大为,演唱 …欢迎免费下载爱在心窝里1乐谱、乐曲、伴奏,...
71 爱在心窝里1 许继荣 徐大为本文分享来自 高音教 的歌谱 《体面》吉他谱吉他弹唱教学C调入门版 高音教 猴哥吉他教学,词/曲 ,演唱 …欢迎免费下载《体面》吉他谱吉他弹唱教学C调入门版 高音教 猴哥吉他教学乐谱、乐曲、伴奏,...
747本文分享来自 晗旭 的歌谱 荷花梦,词/曲 江雪 王志信,演唱 …欢迎免费下载荷花梦乐谱、乐曲、伴奏,《荷花梦》文本歌词荷花梦作词:江雪 作曲:王志信 演唱:彭丽媛1.我家池塘水,水上荷花美,花蕾脉脉含深情,亭亭玉立吐芳香。迎风舞绿裙,雨中笑微微,百花园里不争春,只恋家乡泥和水。2.我家池塘水,...
115 荷花梦 江雪 王志信本文展示由神仙姐姐记谱记谱的歌谱 慌张(电视剧《女人花》插曲),词/曲 ,演唱 孙晓娜…欢迎免费试听慌张(电视剧《女人花》插曲)乐曲,下载歌曲的乐谱与伴奏。...
720 慌张孙晓娜本文展示由爱乐 制谱上传记谱的歌谱 梦回云南,词/曲 白玛多吉 白玛多吉,演唱 白玛多吉…欢迎免费试听梦回云南乐曲,下载歌曲的乐谱与伴奏。试听地址:http://www.yue365.com/play/9418/244247.shtml...
808 梦回云南 白玛多吉 白玛多吉白玛多吉本文分享来自 众乐音圈 的歌谱 青城山下白素贞(双指琴卡林巴琴简谱),词/曲 贡敏 左宏元,演唱 庄惠茹…欢迎免费下载青城山下白素贞(双指琴卡林巴琴简谱)乐谱、乐曲、伴奏,...
941 青城山下白素贞 贡敏 左宏元 庄惠茹本文分享来自 丁恩昌 的歌谱 写德字,立人品(丁恩昌词张国良曲),词/曲 丁恩昌 张国良,演唱 …欢迎免费下载写德字,立人品(丁恩昌词张国良曲)乐谱、乐曲、伴奏,...
904 写德字 立人品 丁恩昌 张国良本文展示由行云制谱记谱的歌谱 荷塘月色(葫芦丝独奏),词/曲 张超,演唱 …欢迎免费试听荷塘月色(葫芦丝独奏)乐曲,下载歌曲的乐谱与伴奏。...
970 荷塘月色 张超本文分享来自 zhujilin0808 的歌谱 还想对你说(中音、次中音萨克斯曲),词/曲 朱继霖,演唱 朱继霖…欢迎免费下载还想对你说(中音、次中音萨克斯曲)乐谱、乐曲、伴奏,...
724 还想对你说 朱继霖本文分享来自 喃风i 的歌谱 挥动翅膀的女孩(Proud of You),词/曲 许常德 陈光荣,演唱 容祖儿…欢迎免费下载挥动翅膀的女孩(Proud of You)乐谱、乐曲、伴奏,...
40 挥动翅膀的女孩 许常德 陈光荣 容祖儿本文分享来自 遥力abc111 的歌谱 两岸心相连(朱国鑫创作),词/曲 朱国鑫 朱国鑫,演唱 朱国鑫…欢迎免费下载两岸心相连(朱国鑫创作)乐谱、乐曲、伴奏,...
796 两岸心相连 朱国鑫| 留言与评论(共有 0 条评论) |
