
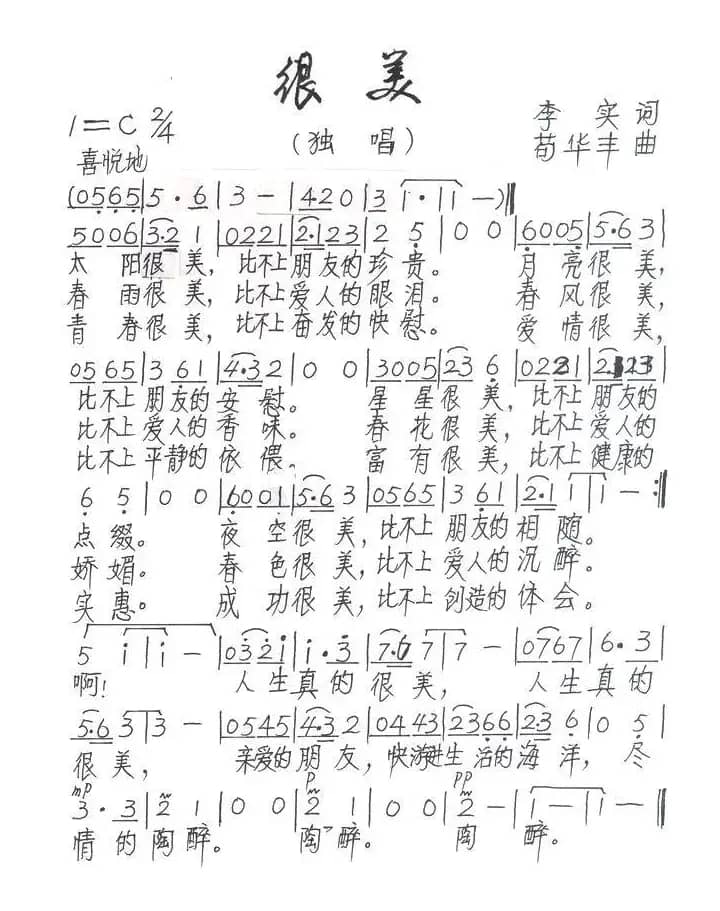
很美_歌谱投稿_词曲:李实 苟华丰简谱歌词是曲谱查询网于2023年05月01日 13:54:28更新在曲谱投稿频道中的内容,收录在曲谱投稿栏目中;曲谱查询网分享的很美_歌谱投稿_词曲:李实 苟华丰简谱五线谱高清图片,欢迎在线免费下载;曲谱查询网无需注册,即可直接下载海量歌曲谱与乐器学习相关资料。
曲谱查询网收录古今中外海量歌曲谱,如歌曲简谱、乐曲五线谱、PDF乐谱、戏曲谱、器乐相关资源下载等,欢迎查阅!

很美_歌谱投稿_词曲:李实 苟华丰简谱歌词是曲谱查询网于2023年05月01日 13:54:28更新在曲谱投稿频道中的内容,收录在曲谱投稿栏目中;曲谱查询网分享的很美_歌谱投稿_词曲:李实 苟华丰简谱五线谱高清图片,欢迎在线免费下载;曲谱查询网无需注册,即可直接下载海量歌曲谱与乐器学习相关资料。
本文分享来自 你我的歌 的歌谱 家乡凯里美呀美,词/曲 李美新 袁冬 李美新 袁冬,演唱 袁冬…欢迎免费下载家乡凯里美呀美乐谱、乐曲、伴奏,...
363 家乡凯里美呀美 袁冬本文分享来自 青山123 的歌谱 达坂城的姑娘(手稿版),词/曲 王洛宾 王洛宾,演唱 王洛宾…欢迎免费下载达坂城的姑娘(手稿版)乐谱、乐曲、伴奏,...
207 达坂城的姑娘 王洛宾本文展示由秋叶起舞 记谱上传记谱的歌谱 继往开来(何丽华词 张夏林曲),词/曲 何丽华 张夏林,演唱 王莹[伊人家乡]…欢迎免费试听继往开来(何丽华词 张夏林曲)乐曲,下载歌曲的乐谱与伴奏。MP3:http://yc.5sing.com/966609.html《继往开来》文本歌词《继往开来》作词:...
462 继往开来 何丽华 张夏林 王莹[伊人家乡]本文展示由Z.E.Z.制作记谱的歌谱 在希望的田野上,词/曲 晓光 施光南,演唱 …欢迎免费试听在希望的田野上乐曲,下载歌曲的乐谱与伴奏。《在希望的田野上》文本歌词在希望的田野上作词:陈晓光 作曲:施光南 演唱:彭丽媛我们的家乡在希望的田野上,炊烟在新建的住房上飘荡,小河在美丽的村庄旁流淌。一片...
192 在希望的田野上 晓光 施光南本文展示由桃李醉春风记谱记谱的歌谱 相思(《西游记后传》片尾曲),词/曲 赵小源 三宝,演唱 毛阿敏…欢迎免费试听相思(《西游记后传》片尾曲)乐曲,下载歌曲的乐谱与伴奏。歌曲试听:http://www.chaodikong.com/article/2011/0121/article_10602.ht...
80 相思 赵小源 三宝 毛阿敏本文展示由谱友天恩上传记谱的歌谱 一卡手指,词/曲 梅农 梅农,演唱 七郎…欢迎免费试听一卡手指乐曲,下载歌曲的乐谱与伴奏。《一卡手指》文本歌词一卡手指词曲作者:梅农演唱:七郎http://music.baidu.com/song/25022333歌词更深夜静露水重思念心爱你一人想着离开彼一工那行那...
85 一卡手指 梅农 梅农七郎本文展示由棺材瓤子记谱记谱的歌谱 心月,词/曲 常如 付笛声,演唱 付笛声、任静…欢迎免费试听心月乐曲,下载歌曲的乐谱与伴奏。...
495 心月 常如 付笛声付笛声 任静本文分享来自 秋叶起舞 的歌谱 鹧鸪天·迎春,词/曲 张艺军,演唱 …欢迎免费下载鹧鸪天·迎春乐谱、乐曲、伴奏,致谢:《曲谱查询网》衷心感谢作者老师馈赠原版歌谱!...
644 鹧鸪天·迎春 张艺军本文分享来自 天国使者 的歌谱 心中的色尔古(齐旦布演唱),词/曲 不详 不详,演唱 齐旦布…欢迎免费下载心中的色尔古(齐旦布演唱)乐谱、乐曲、伴奏,...
528 心中的色尔古 不详 齐旦布本文分享来自 秋叶起舞 的歌谱 卓玛的歌声,词/曲 顾孝光 张艺军,演唱 叶俊华…欢迎免费下载卓玛的歌声乐谱、乐曲、伴奏,致谢:《曲谱查询网》衷心感谢作者老师馈赠原版歌谱!《卓玛的歌声》文本歌词卓玛的歌声作词:顾孝光 作曲:张艺军呀啦嗦!。。。茫茫的西藏高原,自有真金闪烁的光芒!漫漫的雅鲁...
553 卓玛的歌声 顾孝光 张艺军 叶俊华本文展示由瓦莲金娜 抄谱上传记谱的歌谱 我要留下(二声部版 [俄]),词/曲 ,演唱 …欢迎免费试听我要留下(二声部版 [俄])乐曲,下载歌曲的乐谱与伴奏。...
769 我要留下| 留言与评论(共有 0 条评论) |
