致谢:《曲谱查询网》衷心感谢作者老师馈赠原版歌谱!

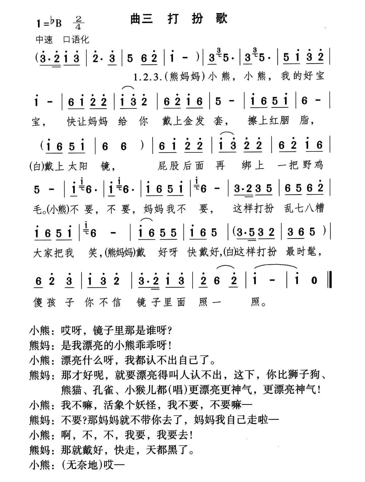
打扮歌_儿歌乐谱_词曲:千红 编剧 颂今简谱歌词是曲谱查询网于2023年05月20日 06:20:56更新在少儿歌谱频道中的内容,收录在少儿歌谱栏目中;曲谱查询网分享的打扮歌_儿歌乐谱_词曲:千红 编剧 颂今简谱五线谱高清图片,欢迎在线免费下载;曲谱查询网无需注册,即可直接下载海量歌曲谱与乐器学习相关资料。
曲谱查询网收录古今中外海量歌曲谱,如歌曲简谱、乐曲五线谱、PDF乐谱、戏曲谱、器乐相关资源下载等,欢迎查阅!
致谢:《曲谱查询网》衷心感谢作者老师馈赠原版歌谱!

打扮歌_儿歌乐谱_词曲:千红 编剧 颂今简谱歌词是曲谱查询网于2023年05月20日 06:20:56更新在少儿歌谱频道中的内容,收录在少儿歌谱栏目中;曲谱查询网分享的打扮歌_儿歌乐谱_词曲:千红 编剧 颂今简谱五线谱高清图片,欢迎在线免费下载;曲谱查询网无需注册,即可直接下载海量歌曲谱与乐器学习相关资料。
| 留言与评论(共有 0 条评论) |
