
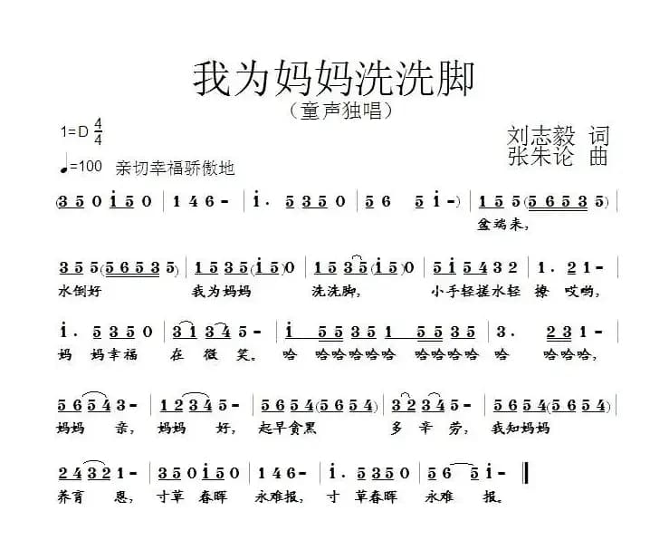
我为妈妈洗洗脚_儿歌乐谱_词曲:刘志毅 张朱论简谱歌词是曲谱查询网于2023年05月29日 04:38:22更新在少儿歌谱频道中的内容,收录在少儿歌谱栏目中;曲谱查询网分享的我为妈妈洗洗脚_儿歌乐谱_词曲:刘志毅 张朱论简谱五线谱高清图片,欢迎在线免费下载;曲谱查询网无需注册,即可直接下载海量歌曲谱与乐器学习相关资料。
曲谱查询网收录古今中外海量歌曲谱,如歌曲简谱、乐曲五线谱、PDF乐谱、戏曲谱、器乐相关资源下载等,欢迎查阅!

我为妈妈洗洗脚_儿歌乐谱_词曲:刘志毅 张朱论简谱歌词是曲谱查询网于2023年05月29日 04:38:22更新在少儿歌谱频道中的内容,收录在少儿歌谱栏目中;曲谱查询网分享的我为妈妈洗洗脚_儿歌乐谱_词曲:刘志毅 张朱论简谱五线谱高清图片,欢迎在线免费下载;曲谱查询网无需注册,即可直接下载海量歌曲谱与乐器学习相关资料。
| 留言与评论(共有 0 条评论) |
