![[上党梆子] 我寒彻心头(《两地家书》选段)](http://img4.qpcxw.com/uploads/images/xipu/026/byhevbyf5xq.webp)
![[上党梆子] 我寒彻心头(《两地家书》选段)](http://img4.qpcxw.com/uploads/images/xipu/026/q2obmy3a4u4.webp)
![[上党梆子] 我寒彻心头(《两地家书》选段)](http://img4.qpcxw.com/uploads/images/xipu/026/n2lma1j4cj5.webp)
![[上党梆子] 我寒彻心头(《两地家书》选段)](http://img4.qpcxw.com/uploads/images/xipu/026/huum5gyvphi.webp)
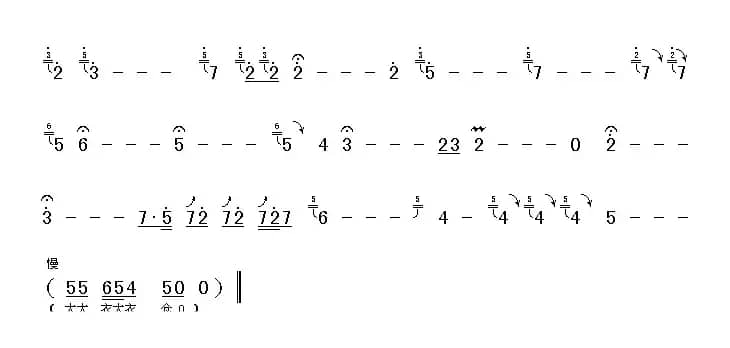
上党梆子 我寒彻心头《两地家书》选段简谱歌词是曲谱查询网于2023年08月22日 05:18:42更新在上党梆子谱频道中的内容,收录在上党梆子谱栏目中;曲谱查询网分享的上党梆子 我寒彻心头《两地家书》选段简谱五线谱高清图片,欢迎在线免费下载;曲谱查询网无需注册,即可直接下载海量歌曲谱与乐器学习相关资料。
曲谱查询网收录古今中外海量歌曲谱,如歌曲简谱、乐曲五线谱、PDF乐谱、戏曲谱、器乐相关资源下载等,欢迎查阅!
![[上党梆子] 我寒彻心头(《两地家书》选段)](http://img4.qpcxw.com/uploads/images/xipu/026/byhevbyf5xq.webp)
![[上党梆子] 我寒彻心头(《两地家书》选段)](http://img4.qpcxw.com/uploads/images/xipu/026/q2obmy3a4u4.webp)
![[上党梆子] 我寒彻心头(《两地家书》选段)](http://img4.qpcxw.com/uploads/images/xipu/026/n2lma1j4cj5.webp)
![[上党梆子] 我寒彻心头(《两地家书》选段)](http://img4.qpcxw.com/uploads/images/xipu/026/huum5gyvphi.webp)
上党梆子 我寒彻心头《两地家书》选段简谱歌词是曲谱查询网于2023年08月22日 05:18:42更新在上党梆子谱频道中的内容,收录在上党梆子谱栏目中;曲谱查询网分享的上党梆子 我寒彻心头《两地家书》选段简谱五线谱高清图片,欢迎在线免费下载;曲谱查询网无需注册,即可直接下载海量歌曲谱与乐器学习相关资料。
本篇分享戏曲谱 [上党梆子] 见多少王孙公子骑骏马(《姐妹易嫁》选段),由 词/曲, 演唱/奏,Duke 编辑整理…...
1408 戏曲谱 戏曲唱谱 上党梆子 见多少王孙公子骑骏马本篇分享戏曲谱 [上党梆子] 炭火融融情一片(《杀妻》选段),由 词/曲, 演唱/奏,小憨包 编辑整理…...
567 戏曲谱 戏曲唱谱 上党梆子 炭火融融情一片本篇分享戏曲谱 [上党梆子]咱赵家原本是书香门庭(《赵树理》选段),由 词/曲, 演唱/奏,常安 编辑整理…...
569 戏曲谱 戏曲唱谱 上党梆子 咱赵家原本是书香门庭本篇分享戏曲谱 [上党梆子]李蕊贞在冷宫满怀悲愤(《狸猫换太子》选段),由 词/曲,老艺人传唱 演唱/奏,普儿 编辑整理…...
134 戏曲谱 戏曲唱谱 上党梆子 李蕊贞在冷宫满怀悲愤 老艺人传唱本篇分享戏曲谱 [上党梆子] 孙文龙精神天下扬(上党梆子戏歌),由李碧如 李碧如 词/曲,晋城太行乡土文化艺术团 演唱/奏,飞飞 编辑整理…为纪念孙文龙诞辰80周年而创造MV欣赏:http://v.youku.com/v_show/id_XNDQyNjE3NzQ4.html《[上党梆子] 孙文龙精...
358 戏曲谱 戏曲唱谱 上党梆子 孙文龙精神天下扬 李碧如 晋城太行乡土文化艺术团本篇分享戏曲谱 [上党梆子]小奴家正青春年刚二八(《吕布戏貂蝉》选段),由 词/曲,老艺人传唱 演唱/奏,酱子 编辑整理…...
359 戏曲谱 戏曲唱谱 上党梆子 小奴家正青春年刚二八 老艺人传唱| 留言与评论(共有 0 条评论) |
