
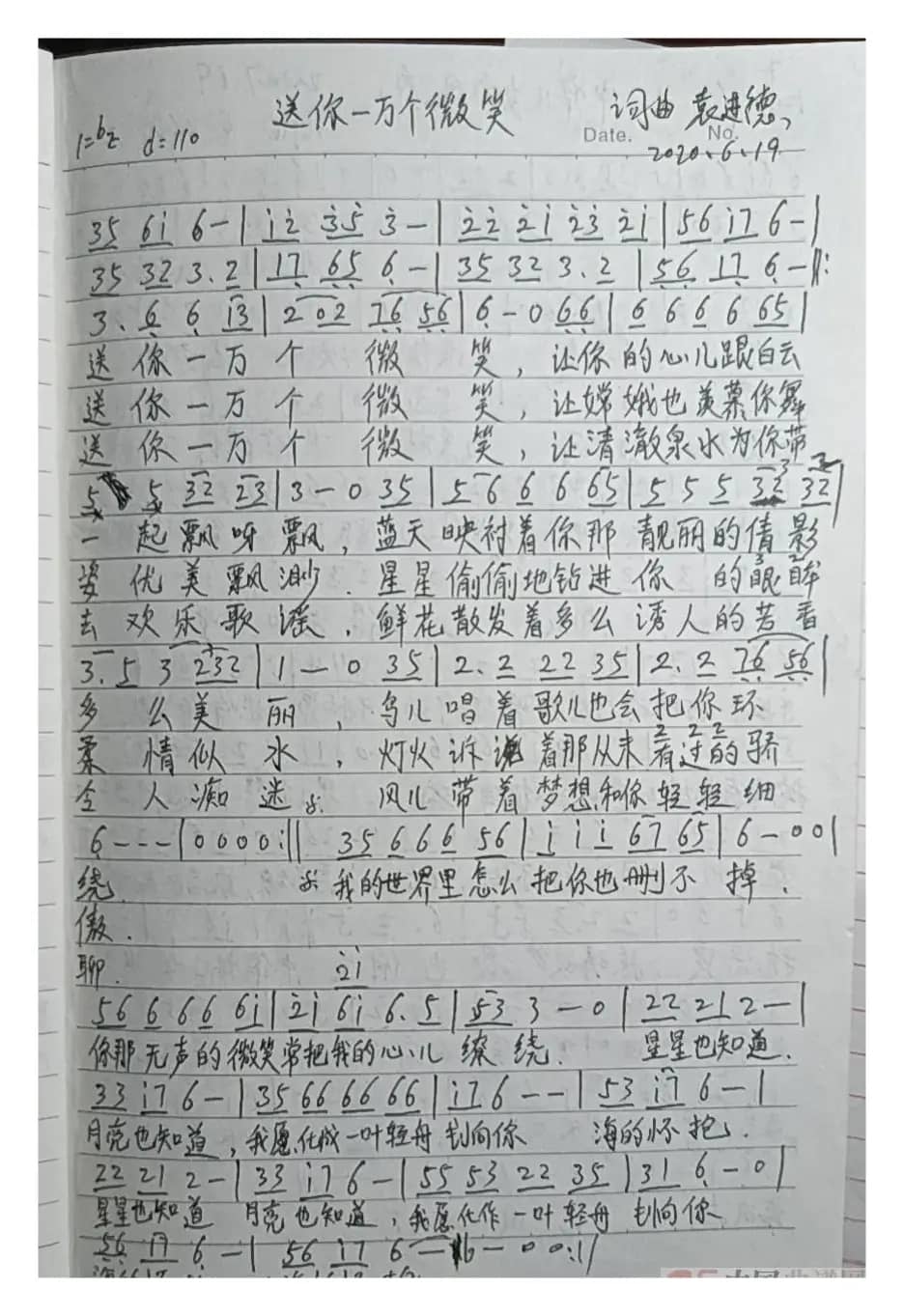
送你一万个微笑_歌曲简谱_词曲:袁进德 袁进德简谱歌词是曲谱查询网于2023年01月10日 02:32:56更新在乐谱大全频道中的内容,收录在乐谱大全栏目中;曲谱查询网分享的送你一万个微笑_歌曲简谱_词曲:袁进德 袁进德简谱五线谱高清图片,欢迎在线免费下载;曲谱查询网无需注册,即可直接下载海量歌曲谱与乐器学习相关资料。
曲谱查询网收录古今中外海量歌曲谱,如歌曲简谱、乐曲五线谱、PDF乐谱、戏曲谱、器乐相关资源下载等,欢迎查阅!

送你一万个微笑_歌曲简谱_词曲:袁进德 袁进德简谱歌词是曲谱查询网于2023年01月10日 02:32:56更新在乐谱大全频道中的内容,收录在乐谱大全栏目中;曲谱查询网分享的送你一万个微笑_歌曲简谱_词曲:袁进德 袁进德简谱五线谱高清图片,欢迎在线免费下载;曲谱查询网无需注册,即可直接下载海量歌曲谱与乐器学习相关资料。
本篇展示 袁龙(1) 分享的乐曲谱 为爱出征,由袁龙 袁龙 词/曲, 演唱…欢迎免费试听为爱出征乐曲,下载乐谱与伴奏。为爱出征,踏上征程。何惧艰险,风雨兼程。带着祖国的嘱托,带着离别的泪痕。勇敢地奔赴抗疫第一线,让满腔的热血,化作心愿,转换成激情。《为爱出征》文本歌词为爱出征,踏上征程。何惧艰险,...
903 为爱出征 袁龙本文展示由《薛范60年翻译歌曲选》记谱的歌谱 你不要忘了我,词/曲 [意]多梅尼柯·富尔诺 [意]恩斯特·马利什卡 [意]厄内斯托·德·库尔蒂斯,演唱 …欢迎免费试听你不要忘了我乐曲,下载歌曲的乐谱与伴奏。《你不要忘了我》文本歌词你不要忘了我[意]多梅尼柯·富尔诺[意]恩斯特·马利什卡 词[意]厄内...
822 你不要忘了我 [意]厄内斯托·德·库尔蒂斯本文展示由岭南印象制谱记谱的歌谱 伤,词/曲 “一只舟” “一只舟”,演唱 “一只舟”…欢迎免费试听伤乐曲,下载歌曲的乐谱与伴奏。《伤》文本歌词“一只舟”词曲“一只舟”演唱Music…1. 为什么要在我最爱的时候,停下你相爱的脚步;难道是我对你的爱不够,不能够把你挽留。为什么爱不能绵绵长长,为什么要...
740 伤 “一只舟” “一只舟”“一只舟”本篇展示 舒宏 分享的乐曲谱 把白沙带回家(孙华词 舒宏曲),由孙华 舒宏 词/曲,舒宏 演唱…欢迎免费试听把白沙带回家(孙华词 舒宏曲)乐曲,下载乐谱与伴奏。...
323 把白沙带回家 孙华 舒宏本篇展示 歌唱家杨学超 分享的乐曲谱 感恩母校(合唱版)杨学超 词曲,由杨学超 杨学超 词/曲,杨学超 演唱…欢迎免费试听感恩母校(合唱版)杨学超 词曲乐曲,下载乐谱与伴奏。...
43 感恩母校 杨学超杨学超本文展示由小小张制谱记谱的歌谱 美丽的凤尾竹(民乐合奏二胡分谱),词/曲 ,演唱 …欢迎免费试听美丽的凤尾竹(民乐合奏二胡分谱)乐曲,下载歌曲的乐谱与伴奏。...
825 美丽的凤尾竹本文展示由君羊 制谱记谱的歌谱 乐观人生(Li·Na词 黄金万两曲),词/曲 Li·Na 黄金万两,演唱 思小玥…欢迎免费试听乐观人生(Li·Na词 黄金万两曲)乐曲,下载歌曲的乐谱与伴奏。...
1250 乐观人生 li Na 黄金万两思小玥本篇展示 刘新太 分享的乐曲谱 夜雨寄北,由(唐)李商隐 刘新太 词/曲, 演唱…欢迎免费试听夜雨寄北乐曲,下载乐谱与伴奏。...
483 夜雨寄北 (唐)李商隐 刘新太本篇展示 交流 分享的乐曲谱 全世界人民一定胜利(大提琴八度及双音练习),由战地新歌 杨会林编曲 词/曲,董义演奏 演唱…欢迎免费试听全世界人民一定胜利(大提琴八度及双音练习)乐曲,下载乐谱与伴奏。...
486 全世界人民一定胜利 战地新歌 杨会林编曲董义演奏本文展示由谱友落红上传记谱的歌谱 滚滚长江东逝水,词/曲 杨慎 谷建芬,演唱 杨洪基…欢迎免费试听滚滚长江东逝水乐曲,下载歌曲的乐谱与伴奏。...
539 滚滚长江东逝水 杨慎谷建芬杨洪基本篇展示 谢伟 分享的乐曲谱 你会把我的生命燃烧(孙朝成词 谢伟曲),由孙朝成 谢伟 词/曲, 演唱…欢迎免费试听你会把我的生命燃烧(孙朝成词 谢伟曲)乐曲,下载乐谱与伴奏。...
748 你会把我的生命燃烧 孙朝成 谢伟本篇展示 石河子孙卫东 分享的乐曲谱 中华的桥(甘霖词孙卫东曲),由甘霖 孙卫东 词/曲, 演唱…欢迎免费试听中华的桥(甘霖词孙卫东曲)乐曲,下载乐谱与伴奏。...
863 中华的桥 甘霖 孙卫东本文展示由君羊 制谱记谱的歌谱 恋着旧梦的女人(陈伟词曲),词/曲 陈伟 陈伟,演唱 孙艺琪…欢迎免费试听恋着旧梦的女人(陈伟词曲)乐曲,下载歌曲的乐谱与伴奏。...
470 恋着旧梦的女人 陈伟陈伟孙艺琪| 留言与评论(共有 0 条评论) |
