名称:主日学 8页 开花结果词 天堂美曲
国家:中国
作词:开花结果
作曲:天堂美
分类:曲谱
子类:歌谱乐谱
类型:简谱
文件格式:jpg
引导小孩子从小行善,长大了不做损人利己事情,做一个合格公民,利国利民,很宝贵的耶稣基督教歌曲,应该大力传扬,感谢上帝的恩典,求上帝祝福各国各民族。
顺便说下,哪个国家信耶稣人多,上帝就多祝福哪个国家,反之,上帝发怒降灾祸惩罚。

《主日学【8页】》文本歌词
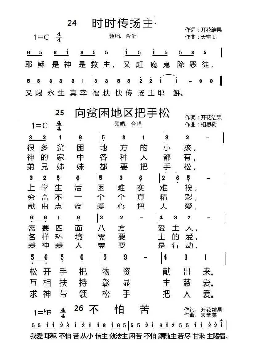
24时刻传扬主
作词 开花结果
作曲 天堂美
耶稣是神是救主,
又赶魔鬼除恶徒,
又赐永生真幸福,
快快传扬主耶稣。
25向贫困地区把手松
作词 开花结果
作曲 相思树
1很多贫困地方的小孩,
上学生活困难实难挨,
需要四面八方爱主人,
松开手把物资献出来。
2神的家中各种人都有,
穷富不一个个真精彩,
各样环境需要主的爱,
互相扶持彰显主慈爱。
3弟兄姊妹都要把手松,
献出点滴爱心把人爱,
爱神爱人需要是行动,
求神带领松手把人爱
。26不怕苦
作词 开花结果
作曲 天堂美
我爱耶稣不怕苦,
从小信主效法主,
困苦不怕跟随主,
苦尽甘来主赐福。












