
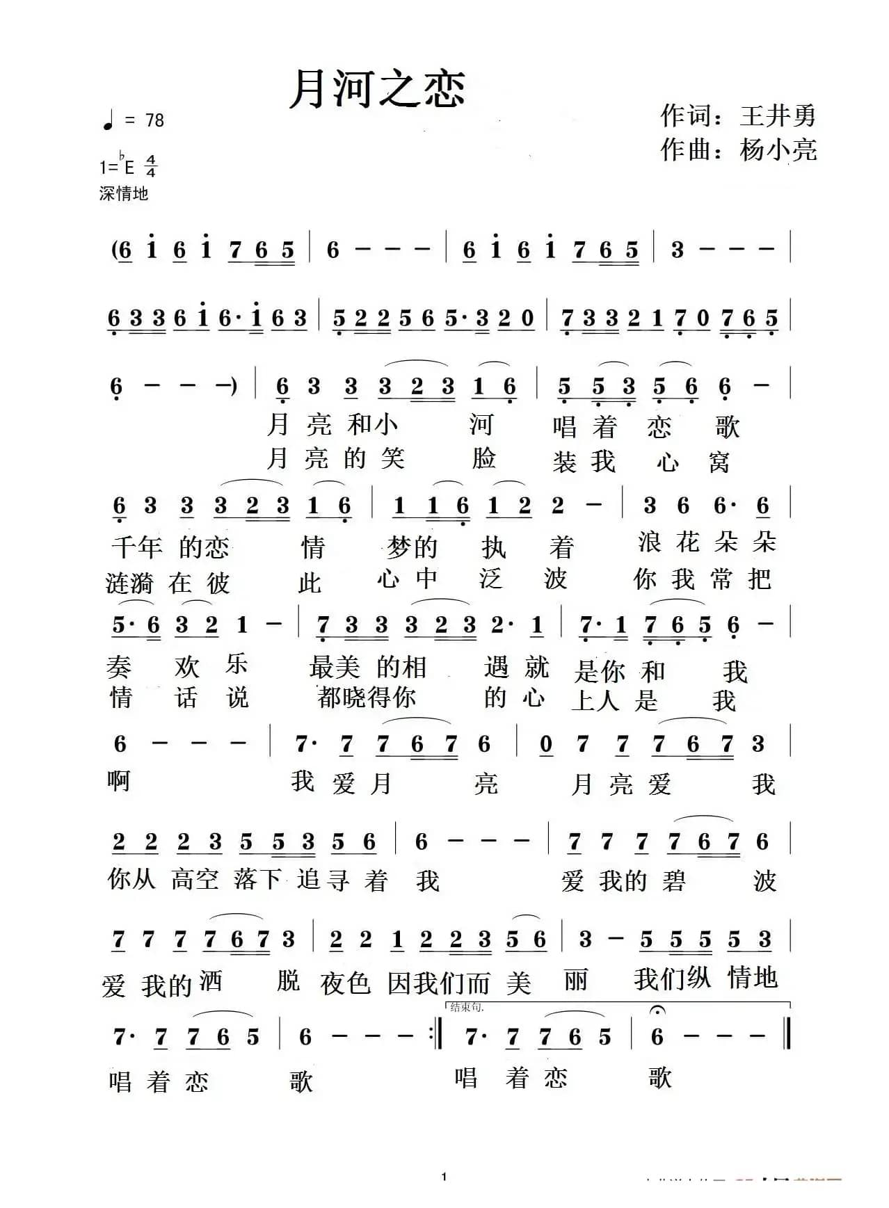
月河之恋_歌曲简谱_词曲:王井勇 杨小亮简谱歌词是曲谱查询网于2023年01月16日 22:45:55更新在乐谱大全频道中的内容,收录在乐谱大全栏目中;曲谱查询网分享的月河之恋_歌曲简谱_词曲:王井勇 杨小亮简谱五线谱高清图片,欢迎在线免费下载;曲谱查询网无需注册,即可直接下载海量歌曲谱与乐器学习相关资料。
曲谱查询网收录古今中外海量歌曲谱,如歌曲简谱、乐曲五线谱、PDF乐谱、戏曲谱、器乐相关资源下载等,欢迎查阅!

月河之恋_歌曲简谱_词曲:王井勇 杨小亮简谱歌词是曲谱查询网于2023年01月16日 22:45:55更新在乐谱大全频道中的内容,收录在乐谱大全栏目中;曲谱查询网分享的月河之恋_歌曲简谱_词曲:王井勇 杨小亮简谱五线谱高清图片,欢迎在线免费下载;曲谱查询网无需注册,即可直接下载海量歌曲谱与乐器学习相关资料。
本文展示由程迎接记谱记谱的歌谱 想着远方的你,词/曲 施生军 一只舟,演唱 诗雅…欢迎免费试听想着远方的你乐曲,下载歌曲的乐谱与伴奏。...
1461 想着远方的你 施生军 一只舟诗雅本文展示由谱友哈勃_UNIDY上传记谱的歌谱 和煦的糖果风(纯音乐主旋律谱),词/曲 Candy_Wind,演唱 …欢迎免费试听和煦的糖果风(纯音乐主旋律谱)乐曲,下载歌曲的乐谱与伴奏。Candy_Wind的纯音乐。MP3试听:https://music.163.com/#/song?id=43...
770 和煦的糖果风 Candy_Wind本文展示由对影斋记谱记谱的歌谱 云山幻梦曲,词/曲 月吟诗 吴欣睿,演唱 …欢迎免费试听云山幻梦曲乐曲,下载歌曲的乐谱与伴奏。...
181 云山幻梦曲 月吟诗吴欣睿本篇展示 潘月剑 分享的乐曲谱 真朋友(潘月剑词 王龙曲),由潘月剑 王龙 词/曲,樊家瑞 演唱…欢迎免费试听真朋友(潘月剑词 王龙曲)乐曲,下载乐谱与伴奏。《真朋友》文本歌词真朋友潘月剑词 王龙曲 樊家瑞唱最近还好吗 我的好朋友虽不常联系 总挂在心头若是有苦水 尽管向我来倾倒咱们可不能 光报喜来不...
853 真朋友 潘月剑 王龙樊家瑞本篇展示 石河子孙卫东 分享的乐曲谱 娅妮幼儿园园歌(舍卫词孙卫东刘兰芳曲),由舍卫 孙卫东刘兰芳 词/曲, 演唱…欢迎免费试听娅妮幼儿园园歌(舍卫词孙卫东刘兰芳曲)乐曲,下载乐谱与伴奏。...
141 娅妮幼儿园园歌 舍卫 孙卫东刘兰芳本文展示由谱友九日旭上传记谱的歌谱 【日】そんなナイト•パブ(这样的夜•酒吧),词/曲 水木 怜 徳久広司,演唱 増位山太志郎…欢迎免费试听【日】そんなナイト•パブ(这样的夜•酒吧)乐曲,下载歌曲的乐谱与伴奏。歌曲博文:http://blog.sina.com.cn/s/blog_4a4b274c0...
176 そんなナイト•パブ 水木 怜 徳久広司増位山太志郎本文展示由秋叶起舞记谱上传记谱的歌谱 麻辣传情寄乡愁,词/曲 安华 王黎光,演唱 阿鲁阿卓…欢迎免费试听麻辣传情寄乡愁乐曲,下载歌曲的乐谱与伴奏。这首《麻辣传情寄乡愁》是应邀为重庆钢梁安居古城创作的,我们尽量把重庆的的人文景观用艺术表现出来。阿卓唱得是好的,这是最初的原版,作者认为更符合创作初衷!M...
306 麻辣传情寄乡愁 安华 王黎光阿鲁阿卓本文展示由君羊 制谱记谱的歌谱 同学(毛国纶词 歌奴曲),词/曲 毛国纶 歌奴,演唱 祝建林、醉美…欢迎免费试听同学(毛国纶词 歌奴曲)乐曲,下载歌曲的乐谱与伴奏。...
319 同学 毛国纶 歌奴祝建林醉美本文展示由秋叶起舞记谱上传记谱的歌谱 丝路新绿,词/曲 晓光 刘青,演唱 白雪…欢迎免费试听丝路新绿乐曲,下载歌曲的乐谱与伴奏。《丝路新绿》文本歌词作曲 : 刘青 作词 : 晓光1、东望山河壮丽西去丝路万里自古驼铃往来今有八方行旅2、列车横贯东西公路对接笑语朋友分享繁荣梦想展开羽翼3、古迹新城...
127 丝路新绿 晓光 刘青白雪本文展示由君羊 制谱记谱的歌谱 旧梦何处寻(杨道夫词曲),词/曲 杨道夫 杨道夫,演唱 邓丽君…欢迎免费试听旧梦何处寻(杨道夫词曲)乐曲,下载歌曲的乐谱与伴奏。邓丽君演唱版MP3试听:http://www.haoduoge.com/p272698.htmlMV欣赏:http://v.youku.c...
881 旧梦何处寻 杨道夫 邓丽君本文展示由谱友天恩上传记谱的歌谱 网络邂逅的你,词/曲 落叶无痕 秦立新,演唱 秦立新…欢迎免费试听网络邂逅的你乐曲,下载歌曲的乐谱与伴奏。《网络邂逅的你》文本歌词网络邂逅的你 - 秦立新词:落叶无痕曲:秦立新一次偶然的时间在浩瀚的网络中我遇见了你从此 我就 爱上网络邂逅的你爱上网络邂逅的你你已悄悄...
758 网络邂逅的你 落叶无痕 秦立新秦立新本篇展示 孙国良s88 分享的乐曲谱 你像鲜花一样美,由孙国良 黄永杰 词/曲, 演唱…欢迎免费试听你像鲜花一样美乐曲,下载乐谱与伴奏。...
887 你像鲜花一样美 孙国良 黄永杰本篇展示 巫wudingding 分享的乐曲谱 忆江南(白居易词 巫定定曲),由白居易 巫定定 词/曲,薇薇 演唱…欢迎免费试听忆江南(白居易词 巫定定曲)乐曲,下载乐谱与伴奏。《忆江南》写的是春天日出时的江南风光。江南风光之美,在于她的秀丽明艳,而最美丽的是那碧绿的江水,最明艳的是那鲜红的江花。可...
481 忆江南 白居易 巫定定薇薇本文展示由谱友音艺艺术上传记谱的歌谱 侧脸 原版吉他谱,词/曲 ,演唱 …欢迎免费试听侧脸 原版吉他谱乐曲,下载歌曲的乐谱与伴奏。欢迎关注微信公众号:吉他专家 输入歌名就有吉他谱咯微信:18692197214 QQ:2942957558...
741 侧脸原版吉他谱本文展示由岭南印象记谱的歌谱 花心的人我问你,词/曲 林志萍 刘习军,演唱 红蔷薇…欢迎免费试听花心的人我问你乐曲,下载歌曲的乐谱与伴奏。《花心的人我问你》文本歌词林志萍词刘习军曲红蔷薇演唱你把爱情当成逢场作戏,你的真心到底在哪里。Music…1. 你的美丽让我着迷,怪我想你身不由己,我爱你我也想你...
438 花心的人我问你 林志萍刘习军红蔷薇| 留言与评论(共有 0 条评论) |
