

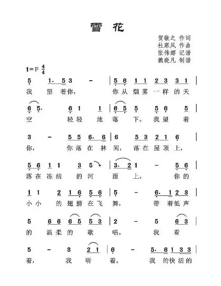
雪花_歌曲简谱_词曲:贺敬之 杜寒风简谱歌词是曲谱查询网于2023年01月22日 04:29:58更新在乐谱大全频道中的内容,收录在乐谱大全栏目中;曲谱查询网分享的雪花_歌曲简谱_词曲:贺敬之 杜寒风简谱五线谱高清图片,欢迎在线免费下载;曲谱查询网无需注册,即可直接下载海量歌曲谱与乐器学习相关资料。
曲谱查询网收录古今中外海量歌曲谱,如歌曲简谱、乐曲五线谱、PDF乐谱、戏曲谱、器乐相关资源下载等,欢迎查阅!


雪花_歌曲简谱_词曲:贺敬之 杜寒风简谱歌词是曲谱查询网于2023年01月22日 04:29:58更新在乐谱大全频道中的内容,收录在乐谱大全栏目中;曲谱查询网分享的雪花_歌曲简谱_词曲:贺敬之 杜寒风简谱五线谱高清图片,欢迎在线免费下载;曲谱查询网无需注册,即可直接下载海量歌曲谱与乐器学习相关资料。
本文展示由录谱记谱的歌谱 无限的悲怀(评剧《白蛇传》选段),词/曲 佚名 凡今航,演唱 喜彩芩…欢迎免费试听无限的悲怀(评剧《白蛇传》选段)乐曲,下载歌曲的乐谱与伴奏。...
191 无限的悲怀凡今航喜彩芩 佚名本篇展示 周耀斌 分享的乐曲谱 运河情(王荣元词 周耀斌曲),由王荣元 周耀斌 词/曲, 演唱…欢迎免费试听运河情(王荣元词 周耀斌曲)乐曲,下载乐谱与伴奏。...
707 运河情 王荣元 周耀斌本文展示由小叶歌吉他扒谱制谱记谱的歌谱 活着(简谱),词/曲 素香 SoHyang 素香 SoHyang,演唱 素香 SoHyang…欢迎免费试听活着(简谱)乐曲,下载歌曲的乐谱与伴奏。...
161 活着本文展示由蔡少亮制谱记谱的歌谱 有个问题谁知道(少儿歌曲),词/曲 李众 潘振声,演唱 童星…欢迎免费试听有个问题谁知道(少儿歌曲)乐曲,下载歌曲的乐谱与伴奏。《有个问题谁知道》文本歌词(少儿歌曲)作词:李众作曲:潘振声演唱:少儿群星(老师)我有一个问题谁呀谁知道?(孩子)我们知道我知道,保证答的妙...
441 有个问题谁知道 李众 潘振声童星本文展示由岭南印象记谱的歌谱 夏之旅,词/曲 吉雄 吉雄,演唱 卓依婷…欢迎免费试听夏之旅乐曲,下载歌曲的乐谱与伴奏。《夏之旅》文本歌词吉雄词曲卓依婷演唱Music…(伴)唻唻唻唻唻...陪我走回家。1. 走在铁路旁我背着吉他,芦花低头笑呀青蛙抬头望,一句一句和呀一声一声唱,蜗牛慢吞吞呀漫步夕阳下。...
508 夏之旅 吉雄吉雄卓依婷本文展示由无限延音记谱的歌谱 汪峰 当我想你的时候 吉他谱(无限延音编配),词/曲 ,演唱 …欢迎免费试听汪峰 当我想你的时候 吉他谱(无限延音编配)乐曲,下载歌曲的乐谱与伴奏。...
149 汪峰 当我想你的时候吉他谱本文展示由桃李醉春风记谱记谱的歌谱 七梅雪,词/曲 九山邪 米茶 九山邪,演唱 兔裹煎蛋卷…欢迎免费试听七梅雪乐曲,下载歌曲的乐谱与伴奏。《七梅雪》文本歌词七梅雪歌手/和声:兔裹煎蛋卷曲:米茶&九山邪词:九山邪编曲:米茶&九山邪混音:兔裹煎蛋卷合声编写:雪山飞猫海报:林轩问风儿人何时归梅花独开...
640 七梅雪 九山邪 米茶 九山邪兔裹煎蛋卷本文展示由佟中华记谱记谱的歌谱 花儿为什么这样红(汉塔双语演唱),词/曲 ,演唱 …欢迎免费试听花儿为什么这样红(汉塔双语演唱)乐曲,下载歌曲的乐谱与伴奏。...
500 花儿为什么这样红本文展示由谱友恒流星上传记谱的歌谱 锁麟囊·一霎时把前情俱已昧尽(京胡伴奏谱),词/曲 暂无 恒流星制谱,演唱 刘桂娟…欢迎免费试听锁麟囊·一霎时把前情俱已昧尽(京胡伴奏谱)乐曲,下载歌曲的乐谱与伴奏。...
585 锁麟囊 一霎时把前情俱已昧尽 恒流星 刘桂娟本篇展示 牧歌《图画之声》 分享的乐曲谱 放飞梦想(牧歌词 李以曲),由牧歌 李以 词/曲, 演唱…欢迎免费试听放飞梦想(牧歌词 李以曲)乐曲,下载乐谱与伴奏。...
85 放飞梦想 牧歌 李以本文展示由谱友LDY意阑珊上传记谱的歌谱 二犯步步娇(莆仙戏曲谱),词/曲 ,演唱 …欢迎免费试听二犯步步娇(莆仙戏曲谱)乐曲,下载歌曲的乐谱与伴奏。...
472 二犯步步娇本文展示由秋叶起舞记谱上传记谱的歌谱 桃花又开放,词/曲 贺磊 姜明 又君,演唱 赵秀兰…欢迎免费试听桃花又开放乐曲,下载歌曲的乐谱与伴奏。《桃花又开放》文本歌词桃花又开放作词 贺磊 姜明 作曲/编曲 又君 演唱 赵秀兰1、今日桃花又开放高原上的江南又飘香美丽的花儿一朵一朵伴随你...
1014 桃花又开放 贺磊 姜明 又君赵秀兰本文展示由天恩记谱记谱的歌谱 路(张继良词 叶佳修曲),词/曲 张继良 叶佳修,演唱 胡启荣…欢迎免费试听路(张继良词 叶佳修曲)乐曲,下载歌曲的乐谱与伴奏。《路》文本歌词歌名:路歌手:胡启荣曲:叶佳修 词:张继良歌词:遥望去 是曾共你步经的路犹自叹 情逝去怎可在追捕缓步去 无尽思亿遭踏碎长路远...
707 路 张继良 叶佳修胡启荣本文展示由根据录音记谱记谱的歌谱 太阳岛之恋(陈晓明词 伊献曲),词/曲 陈晓明 伊献,演唱 伊泓远…欢迎免费试听太阳岛之恋(陈晓明词 伊献曲)乐曲,下载歌曲的乐谱与伴奏。演唱者伊泓远是空军政治工作部文工团女高音歌唱家,曲作者伊献是她的舅舅。...
1055 太阳岛之恋 陈晓明 伊献伊泓远本文展示由沈公宝 制谱记谱的歌谱 拔根芦柴花(江苏民歌),词/曲 江苏民歌 ,演唱 …欢迎免费试听拔根芦柴花(江苏民歌)乐曲,下载歌曲的乐谱与伴奏。...
968 拔根芦柴花 江苏民歌| 留言与评论(共有 0 条评论) |
