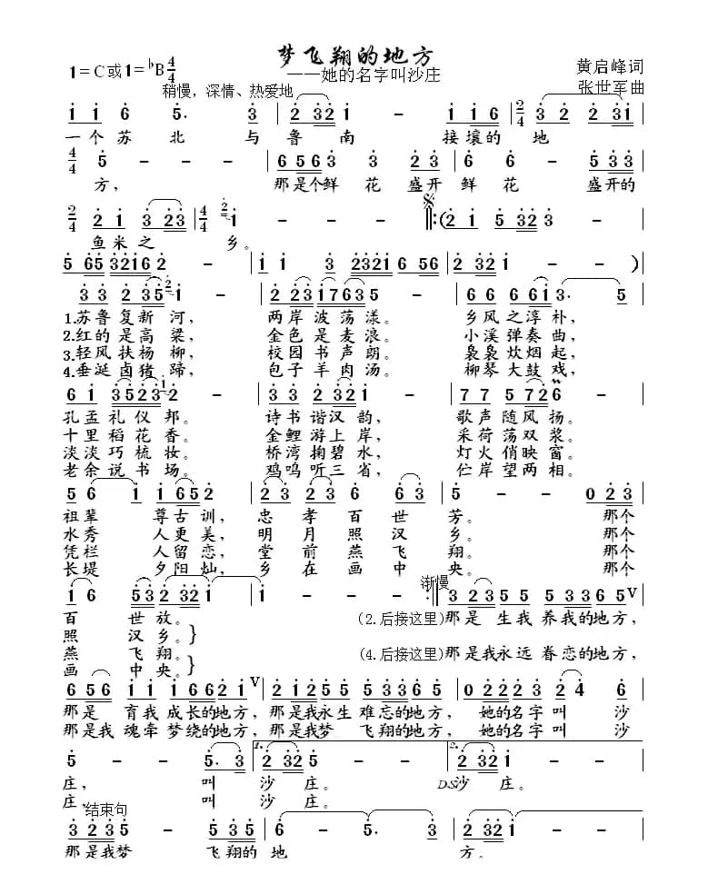
她的名字叫沙庄

梦飞翔的地方_歌曲简谱_词曲:黄启峰 张世军简谱歌词是曲谱查询网于2023年01月22日 19:36:15更新在乐谱大全频道中的内容,收录在乐谱大全栏目中;曲谱查询网分享的梦飞翔的地方_歌曲简谱_词曲:黄启峰 张世军简谱五线谱高清图片,欢迎在线免费下载;曲谱查询网无需注册,即可直接下载海量歌曲谱与乐器学习相关资料。
曲谱查询网收录古今中外海量歌曲谱,如歌曲简谱、乐曲五线谱、PDF乐谱、戏曲谱、器乐相关资源下载等,欢迎查阅!
她的名字叫沙庄

梦飞翔的地方_歌曲简谱_词曲:黄启峰 张世军简谱歌词是曲谱查询网于2023年01月22日 19:36:15更新在乐谱大全频道中的内容,收录在乐谱大全栏目中;曲谱查询网分享的梦飞翔的地方_歌曲简谱_词曲:黄启峰 张世军简谱五线谱高清图片,欢迎在线免费下载;曲谱查询网无需注册,即可直接下载海量歌曲谱与乐器学习相关资料。
本文展示由行云流水制谱记谱的歌谱 中国的年(男声独唱),词/曲 熊永 姚峰,演唱 阎维文…欢迎免费试听中国的年(男声独唱)乐曲,下载歌曲的乐谱与伴奏。男声独唱,谱友论坛上传了全套资料:http://bbs.qupu123.com/thread-1463-1-1.html...
590 中国的年 熊永 姚峰阎维文本文展示由根据同名原唱记谱记谱的歌谱 禾丰桥上,词/曲 华禄光 华禄光,演唱 华禄光…欢迎免费试听禾丰桥上乐曲,下载歌曲的乐谱与伴奏。...
504 禾丰桥上 华禄光华禄光华禄光本文展示由谱友九日旭上传记谱的歌谱 【日】おもいで酒(回忆酒),词/曲 高田直和 梅谷忠洋,演唱 小林幸子…欢迎免费试听【日】おもいで酒(回忆酒)乐曲,下载歌曲的乐谱与伴奏。歌曲博文:http://blog.sina.com.cn/s/blog_4a4b274c0102wq8i.html...
835 おもいで酒 高田直和 梅谷忠洋小林幸子本篇展示 赵胤先 分享的乐曲谱 赵胤先声乐曲谱《唱支山歌给党听》(合唱谱 速编),由蕉萍 朱践耳 词/曲,赖广益 合唱 赵胤先 群文版 演唱…欢迎免费试听赵胤先声乐曲谱《唱支山歌给党听》(合唱谱 速编)乐曲,下载乐谱与伴奏。...
478 赵胤先声乐曲谱唱支山歌给党听 蕉萍 朱践耳赖广益 合唱 赵胤先 群文版本文展示由谱友海内老人上传记谱的歌谱 燕子飞翔(孙健词 周文曲),词/曲 孙健 周文,演唱 王聆燕…欢迎免费试听燕子飞翔(孙健词 周文曲)乐曲,下载歌曲的乐谱与伴奏。...
100 燕子飞翔 孙健 周文王聆燕本文展示由桃李醉春风记谱记谱的歌谱 渡红尘(网游《蜀山缥缈录》主题曲),词/曲 潇彬 覃桢,演唱 张碧晨…欢迎免费试听渡红尘(网游《蜀山缥缈录》主题曲)乐曲,下载歌曲的乐谱与伴奏。原唱+伴奏:http://bbs.qupu123.com/thread-5853-1-1.htmlMP3试听:htt...
744 渡红尘 潇彬 覃桢张碧晨本文展示由谱友玩音乐的辉哥上传记谱的歌谱 谁(雪十郎),词/曲 张世东 蔡华垒,演唱 雪十郎…欢迎免费试听谁(雪十郎)乐曲,下载歌曲的乐谱与伴奏。...
584 谁 张世东蔡华垒雪十郎本文展示由谱友九日旭上传记谱的歌谱 【日】岸壁の母(码头岸边的母亲),词/曲 藤田正人 平川浪竜,演唱 原唱:菊池章子…欢迎免费试听【日】岸壁の母(码头岸边的母亲)乐曲,下载歌曲的乐谱与伴奏。歌曲博文:http://blog.sina.com.cn/s/blog_4a4b274c0101cx3u.h...
1299 岸壁の母 藤田正人 平川浪竜原唱 菊池章子本篇展示 交流 分享的乐曲谱 土拨鼠(小提琴短弓练习),由 杨会林曲 词/曲,陈赫演奏 演唱…欢迎免费试听土拨鼠(小提琴短弓练习)乐曲,下载乐谱与伴奏。...
577 土拨鼠 杨会林曲陈赫演奏本文展示由小弩制谱记谱的歌谱 毛主席派人来(纪念毛主席诞辰专辑),词/曲 阎树田 科会,演唱 张振富、耿莲凤…欢迎免费试听毛主席派人来(纪念毛主席诞辰专辑)乐曲,下载歌曲的乐谱与伴奏。《毛主席派人来》是由阎树田作词,科会作曲,在1960年由成都军区战旗歌舞团的李淑君、谢忆生演唱的一首红歌。《毛主席派...
635 毛主席派人来 阎树田 科会张振富耿莲凤本文展示由弦心距制谱记谱的歌谱 旅行(吉他六线谱),词/曲 许巍 许巍,演唱 许巍…欢迎免费试听旅行(吉他六线谱)乐曲,下载歌曲的乐谱与伴奏。...
848 旅行 许巍本文展示由君羊 制谱记谱的歌谱 人在世上飘(牛朝阳词曲),词/曲 牛朝阳 牛朝阳,演唱 田甜…欢迎免费试听人在世上飘(牛朝阳词曲)乐曲,下载歌曲的乐谱与伴奏。...
1165 人在世上飘 牛朝阳 牛朝阳田甜本文展示由根据录音记谱记谱的歌谱 面朝大海(电视剧《追梦》主题曲),词/曲 刘畅 谭旋,演唱 雷佳…欢迎免费试听面朝大海(电视剧《追梦》主题曲)乐曲,下载歌曲的乐谱与伴奏。由王雷与刘涛联袂主演的电视剧《追梦》,以魏东晓、杜芳这对小夫妻的创业奋斗历程为背景,讲述了深圳40年间的发展变迁的故事。官宣由央...
962 面朝大海 刘畅谭旋雷佳本文展示由君羊 制谱记谱的歌谱 想着你亲爱的(祁隆词曲),词/曲 祁隆 祁隆,演唱 陈美惠…欢迎免费试听想着你亲爱的(祁隆词曲)乐曲,下载歌曲的乐谱与伴奏。...
1009 想着你亲爱的 祁隆 祁隆陈美惠| 留言与评论(共有 0 条评论) |
