
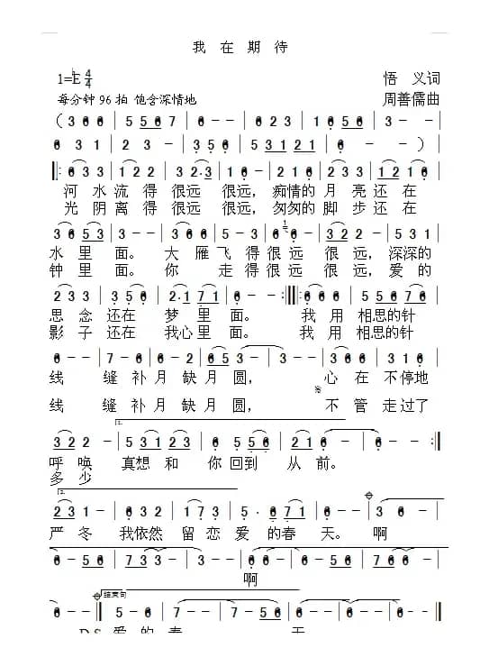
我在期待_歌曲简谱_词曲:悟义 周善儒简谱歌词是曲谱查询网于2023年01月26日 01:40:30更新在乐谱大全频道中的内容,收录在乐谱大全栏目中;曲谱查询网分享的我在期待_歌曲简谱_词曲:悟义 周善儒简谱五线谱高清图片,欢迎在线免费下载;曲谱查询网无需注册,即可直接下载海量歌曲谱与乐器学习相关资料。
曲谱查询网收录古今中外海量歌曲谱,如歌曲简谱、乐曲五线谱、PDF乐谱、戏曲谱、器乐相关资源下载等,欢迎查阅!

我在期待_歌曲简谱_词曲:悟义 周善儒简谱歌词是曲谱查询网于2023年01月26日 01:40:30更新在乐谱大全频道中的内容,收录在乐谱大全栏目中;曲谱查询网分享的我在期待_歌曲简谱_词曲:悟义 周善儒简谱五线谱高清图片,欢迎在线免费下载;曲谱查询网无需注册,即可直接下载海量歌曲谱与乐器学习相关资料。
本篇展示 李荫保 分享的乐曲谱 俺的梦(李荫保词 秦海军曲),由李荫保 秦海军 词/曲, 演唱…欢迎免费试听俺的梦(李荫保词 秦海军曲)乐曲,下载乐谱与伴奏。...
649 俺的梦 李荫保 秦海军本篇展示 石玲娟 分享的乐曲谱 我的脚下是泰山,由郭万里 石玲娟 词/曲, 演唱…欢迎免费试听我的脚下是泰山乐曲,下载乐谱与伴奏。...
64 我的脚下是泰山 郭万里 石玲娟本文展示由周朝林制谱记谱的歌谱 京剧《红灯记》李铁梅(旦)唱段6首,词/曲 ,演唱 …欢迎免费试听京剧《红灯记》李铁梅(旦)唱段6首乐曲,下载歌曲的乐谱与伴奏。...
295 京剧红灯记李铁梅本篇展示 张延道 分享的乐曲谱 春天的歌(许德清词张延道曲),由许德清 张延道 词/曲, 演唱…欢迎免费试听春天的歌(许德清词张延道曲)乐曲,下载乐谱与伴奏。...
790 春天的歌 许德清 张延道本文展示由电视迷制谱记谱的歌谱 我家在中国,词/曲 邹友开 孟庆云,演唱 祖海…欢迎免费试听我家在中国乐曲,下载歌曲的乐谱与伴奏。...
146 我家在中国 邹友开 孟庆云祖海 孟庆云本篇展示 歌唱家杨学超 分享的乐曲谱 朵朵绽放(杨学超作品),由杨学超 杨学超 词/曲,戴艺铭 翟栩乐 等 演唱…欢迎免费试听朵朵绽放(杨学超作品)乐曲,下载乐谱与伴奏。...
100 朵朵绽放 杨学超戴艺铭 翟栩乐 等本文展示由无限延音记谱的歌谱 孙燕姿 遇见 男生版 吉他谱(无限延音编配),词/曲 ,演唱 …欢迎免费试听孙燕姿 遇见 男生版 吉他谱(无限延音编配)乐曲,下载歌曲的乐谱与伴奏。...
876 孙燕姿 遇见 男生版吉他谱本篇展示 石河子孙卫东 分享的乐曲谱 这个秋(潘嘉明词孙卫东曲),由潘嘉明 孙卫东 词/曲, 演唱…欢迎免费试听这个秋(潘嘉明词孙卫东曲)乐曲,下载乐谱与伴奏。...
419 这个秋 潘嘉明 孙卫东本文展示由桃李醉春风记谱记谱的歌谱 尘埃里的诗 ,词/曲 王洪波 刘亦敏,演唱 司徒兰芳…欢迎免费试听尘埃里的诗 乐曲,下载歌曲的乐谱与伴奏。原唱+伴奏:http://bbs.qupu123.com/thread-9049-1-1.htmlMP3试听:http://bbs.qupu123.com/t...
419 尘埃里的诗 王洪波 刘亦敏司徒兰芳本文展示由谱友曲水悠悠上传记谱的歌谱 出了家忘了她,词/曲 周兵 子荣,演唱 王峰…欢迎免费试听出了家忘了她乐曲,下载歌曲的乐谱与伴奏。...
191 出了家忘了她 周兵子荣王峰本篇展示 杨柏涛 分享的乐曲谱 我是个快乐的采煤工(男生小合唱),由杨柏涛词 杨柏涛曲 词/曲, 演唱…欢迎免费试听我是个快乐的采煤工(男生小合唱)乐曲,下载乐谱与伴奏。此曲在鸡西电台“每周一歌”播出。...
539 我是个快乐的采煤工 杨柏涛词 杨柏涛曲本文展示由君羊 制谱记谱的歌谱 春暖花又开(酒疯词 李广宇曲),词/曲 酒疯 李广宇,演唱 龙飞、张冬玲…欢迎免费试听春暖花又开(酒疯词 李广宇曲)乐曲,下载歌曲的乐谱与伴奏。...
485 春暖花又开 酒疯 李广宇龙飞 张冬玲| 留言与评论(共有 0 条评论) |
