感谢曲谱查询网及网站的编辑对于音乐作者与爱好者的帮助!作品欢迎采用。

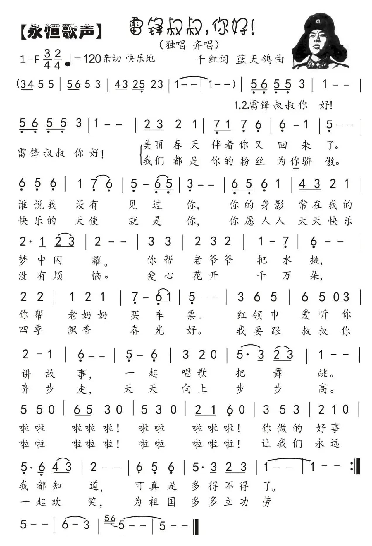
59.雷锋叔叔你好_歌曲简谱_词曲:千 红 蓝天鸽简谱歌词是曲谱查询网于2023年01月27日 22:43:47更新在乐谱大全频道中的内容,收录在乐谱大全栏目中;曲谱查询网分享的59.雷锋叔叔你好_歌曲简谱_词曲:千 红 蓝天鸽简谱五线谱高清图片,欢迎在线免费下载;曲谱查询网无需注册,即可直接下载海量歌曲谱与乐器学习相关资料。
曲谱查询网收录古今中外海量歌曲谱,如歌曲简谱、乐曲五线谱、PDF乐谱、戏曲谱、器乐相关资源下载等,欢迎查阅!
感谢曲谱查询网及网站的编辑对于音乐作者与爱好者的帮助!作品欢迎采用。

59.雷锋叔叔你好_歌曲简谱_词曲:千 红 蓝天鸽简谱歌词是曲谱查询网于2023年01月27日 22:43:47更新在乐谱大全频道中的内容,收录在乐谱大全栏目中;曲谱查询网分享的59.雷锋叔叔你好_歌曲简谱_词曲:千 红 蓝天鸽简谱五线谱高清图片,欢迎在线免费下载;曲谱查询网无需注册,即可直接下载海量歌曲谱与乐器学习相关资料。
本文展示由岭南印象制谱记谱的歌谱 梦中的蝴蝶,词/曲 刁寒 刁寒,演唱 常安…欢迎免费试听梦中的蝴蝶乐曲,下载歌曲的乐谱与伴奏。...
391 梦中的蝴蝶 刁寒 刁寒常安本篇展示 陈经荣 分享的乐曲谱 萤石之歌(又名:旺华萤石之歌),由颜娃沙 陈经荣 词/曲,杨馥郡 演唱…欢迎免费试听萤石之歌(又名:旺华萤石之歌)乐曲,下载乐谱与伴奏。《萤石之歌》文本歌词萤石之歌作词 颜娃沙 作曲 陈经荣你像一块宝石五彩斑斓珍藏在翠绿的巍巍群山你在地下千万年的梳妆打扮成就了美...
239 萤石之歌 颜娃沙 陈经荣杨馥郡本文展示由原创记谱的歌谱 心中的春天,词/曲 寒烟 王焕升,演唱 …欢迎免费试听心中的春天乐曲,下载歌曲的乐谱与伴奏。...
384 心中的春天 寒烟 王焕升本篇展示 梁敬岩 分享的乐曲谱 祖国颂(梁敬岩词 李红俊曲),由梁敬岩 李红俊 词/曲,李强年 演唱…欢迎免费试听祖国颂(梁敬岩词 李红俊曲)乐曲,下载乐谱与伴奏。歌曲在:http://music.show160.com/424999 伴奏在:http://music.show160.com/441...
122 祖国颂 梁敬岩 李红俊李强年 祖国本文展示由谱友曲水悠悠上传记谱的歌谱 相思点点浓,词/曲 漆春娇、由甲 由甲,演唱 漆春娇…欢迎免费试听相思点点浓乐曲,下载歌曲的乐谱与伴奏。...
108 相思点点浓 漆春娇 由甲由甲漆春娇本篇展示 人里人 分享的乐曲谱 我要用一生去爱你,由人里人 人里人 词/曲,雪茶 演唱…欢迎免费试听我要用一生去爱你乐曲,下载乐谱与伴奏。歌唱忠贞的爱情 赞美纯洁的爱情感谢雪茶老师的倾情演唱。雪茶老师的主页http://xuecha.vip.5sing.com欢迎演唱人里人原创歌曲,伴奏在我的主页...
326 我要用一生去爱你 人里人雪茶本文展示由千与千寻秒制谱记谱的歌谱 梁祝新歌(提琴谱),词/曲 王庆爽 邓垚,演唱 王庆爽…欢迎免费试听梁祝新歌(提琴谱)乐曲,下载歌曲的乐谱与伴奏。...
304 梁祝新歌 王庆爽 邓垚王庆爽本文展示由曲谱查询网记谱的歌谱 笛月,词/曲 袖蓝 文劲松,演唱 封茗囧菌…欢迎免费试听笛月乐曲,下载歌曲的乐谱与伴奏。《笛月》文本歌词歌词:日头落 撑轻舟 河水缓缓流家门口 倒碗酒 三两颗蚕豆老先生 别着手 讲古今兴愁而小童 低着头 贪在梦中游男:看 炊烟袅袅起 晚霞渐稀不见 谈笑者身影蓦然生出些...
1103 笛月 袖蓝 文劲松封茗囧菌本文展示由谱友陈尊学上传记谱的歌谱 咱们工人有力量(总谱)1-7,词/曲 马可,演唱 …欢迎免费试听咱们工人有力量(总谱)1-7乐曲,下载歌曲的乐谱与伴奏。...
737 咱们工人有力量1-7马可本文展示由君羊 制谱记谱的歌谱 要看一眼(蓝瑞轩词 韦善温曲),词/曲 蓝瑞轩 韦善温,演唱 黄荣华…欢迎免费试听要看一眼(蓝瑞轩词 韦善温曲)乐曲,下载歌曲的乐谱与伴奏。...
169 要看一眼 蓝瑞轩 韦善温黄荣华本篇展示 高福友 分享的乐曲谱 荔枝红了(胡贵春词 高福友曲),由胡贵春 高福友 词/曲,陈姗姗 演唱…欢迎免费试听荔枝红了(胡贵春词 高福友曲)乐曲,下载乐谱与伴奏。...
630 荔枝红了 胡贵春 高福友陈姗姗 高福友本文展示由谱友电视迷上传记谱的歌谱 士兵的祝福,词/曲 王晓玲 刘琦,演唱 …欢迎免费试听士兵的祝福乐曲,下载歌曲的乐谱与伴奏。...
1170 士兵的祝福 王晓玲 刘琦| 留言与评论(共有 0 条评论) |
