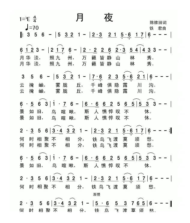
名称:月夜 陈维田词 铁君曲
艺术家:符丽莉
国家:中国
作词:陈维田
作曲:铁君
演唱:符丽莉
分类:曲谱
子类:歌谱乐谱
类型:简谱
文件格式:jpg
《月夜》视频伴奏网址 http://v.youku.com/v_show/id_XNzYxNzA3ODg0.html
MP3试听:http://5sing.kugou.com/yc/2613753.htmlMV欣赏:http://www.tudou.com/programs/view/bfThRl6bbow/
《月夜》文本歌词
《月 夜》
作词:陈维田,作曲:铁君
编曲:晓天辉映,演唱:符丽莉
简体歌词:
月华淡,照九洲,
万籁皆静山林秀。
云掩岫,雾昽丘,
千峰俱隠露川沟。
景如旧,鸟喧啾,
斯人憔悴叹不休。
何時相聚不相分,
铁鸟飞渡莫須愁。
繁体歌词:
月華淡,照九洲,
萬籁皆静山林秀。
雲掩岫,霧曨丘,
千峰俱隠露川溝。
景如舊,鳥喧啾,
斯人憔悴嘆不休。
何時相聚不相分,
鐵鳥飛渡莫須愁。
2014-2-8创作于广州远洋家里












