
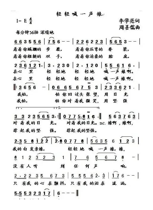
轻轻喊一声娘_歌曲简谱_词曲:李学亮 周善儒简谱歌词是曲谱查询网于2023年01月30日 22:30:36更新在乐谱大全频道中的内容,收录在乐谱大全栏目中;曲谱查询网分享的轻轻喊一声娘_歌曲简谱_词曲:李学亮 周善儒简谱五线谱高清图片,欢迎在线免费下载;曲谱查询网无需注册,即可直接下载海量歌曲谱与乐器学习相关资料。
曲谱查询网收录古今中外海量歌曲谱,如歌曲简谱、乐曲五线谱、PDF乐谱、戏曲谱、器乐相关资源下载等,欢迎查阅!

轻轻喊一声娘_歌曲简谱_词曲:李学亮 周善儒简谱歌词是曲谱查询网于2023年01月30日 22:30:36更新在乐谱大全频道中的内容,收录在乐谱大全栏目中;曲谱查询网分享的轻轻喊一声娘_歌曲简谱_词曲:李学亮 周善儒简谱五线谱高清图片,欢迎在线免费下载;曲谱查询网无需注册,即可直接下载海量歌曲谱与乐器学习相关资料。
本文展示由古弓记谱的歌谱 岁月莫蹉跎 ,词/曲 莫恭敏 莫恭敏,演唱 孙占波…欢迎免费试听岁月莫蹉跎 乐曲,下载歌曲的乐谱与伴奏。《岁月莫蹉跎 》文本歌词https://wsaudiobssdlbig.yun.kugou.com/202302191417/c67d5afd0a...
435 岁月莫蹉跎 莫恭敏莫恭敏孙占波本文展示由岭南印象记谱的歌谱 雾夜的灯塔,词/曲 叶俊麟 日本,演唱 林姗…欢迎免费试听雾夜的灯塔乐曲,下载歌曲的乐谱与伴奏。《雾夜的灯塔》文本歌词叶俊麟词日本曲林姗演唱Music…1. 凄凉的月暗暝茫雾罩海边,海面灯塔白光线暗淡无元气,只有是一直发出水螺声哀悲,引阮出帆的坚心强觅软落去。Music...
792 雾夜的灯塔 叶俊麟日本林姗本篇展示 assdsa1000 分享的乐曲谱 居家抗疫(伤感歌曲),由北冰 罗鹏 词/曲, 演唱…欢迎免费试听居家抗疫(伤感歌曲)乐曲,下载乐谱与伴奏。...
405 居家抗疫 北冰 罗鹏本文展示由岭南印象制谱记谱的歌谱 不想伊,词/曲 佚名 吴晋准,演唱 林玉英…欢迎免费试听不想伊乐曲,下载歌曲的乐谱与伴奏。《不想伊》文本歌词佚名词吴晋准曲林玉英演唱Music…1. 是你要自己来离开我,不通讲我无情放舍你,就像你这个无情的男性,离开我不通搁返来哥哥缠。因为你违背我无讲怎样作你去,害...
1363 不想伊 吴晋准林玉英 佚名本文展示由任钢制谱记谱的歌谱 白兰花(军旅歌曲100首),词/曲 贺东久 印青,演唱 …欢迎免费试听白兰花(军旅歌曲100首)乐曲,下载歌曲的乐谱与伴奏。...
610 白兰花 贺东久 印青本文展示由谱友晓宇小雨上传记谱的歌谱 花海情缘,词/曲 贺灵安 代慧颖,演唱 袁泉…欢迎免费试听花海情缘乐曲,下载歌曲的乐谱与伴奏。...
121 花海情缘 贺灵安代慧颖袁泉本文展示由刘思远编配记谱的歌谱 时间都去哪儿了(合唱线谱),词/曲 陈曦 董冬冬,演唱 刘思远编配…欢迎免费试听时间都去哪儿了(合唱线谱)乐曲,下载歌曲的乐谱与伴奏。...
881 时间都去哪儿了 陈曦 董冬冬刘思远编配本篇展示 禾丫 分享的乐曲谱 让梦飞翔(心雨词 禾丫曲),由心雨 禾丫 词/曲, 演唱…欢迎免费试听让梦飞翔(心雨词 禾丫曲)乐曲,下载乐谱与伴奏。...
452 让梦飞翔 心雨 禾丫本文展示由凌声制谱记谱的歌谱 夜空中最亮的星(五线谱),词/曲 ,演唱 逃跑计划…欢迎免费试听夜空中最亮的星(五线谱)乐曲,下载歌曲的乐谱与伴奏。...
1481 夜空中最亮的星逃跑计划本篇展示 朱顺宝 分享的乐曲谱 我们是人民的检察官(男女领唱—合唱),由王子和 朱顺宝 词/曲,南通市检察院合唱队 演唱…欢迎免费试听我们是人民的检察官(男女领唱—合唱)乐曲,下载乐谱与伴奏。...
825 我们是人民的检察官 王子和 朱顺宝南通市检察院合唱队本文展示由紫潇清风提供记谱的歌谱 相思朵朵为你开,词/曲 紫潇清风 轻云望月,演唱 …欢迎免费试听相思朵朵为你开乐曲,下载歌曲的乐谱与伴奏。...
716 相思朵朵为你开 紫潇清风 轻云望月本文展示由桃李醉春风记谱记谱的歌谱 花千骨·如梦,词/曲 姚雨彤 梁成,演唱 佩谕…欢迎免费试听花千骨·如梦乐曲,下载歌曲的乐谱与伴奏。《花千骨·如梦》文本歌词花千骨·如梦 - 佩谕词:姚雨彤曲:梁成听钟声回荡在心间秋风起 吹进深邃双眼坐看世外天早已沧海桑田画下眷恋挥剑洒满这情缘硝烟里看清你的...
1004 花千骨·如梦 姚雨彤 梁成佩谕| 留言与评论(共有 0 条评论) |
