
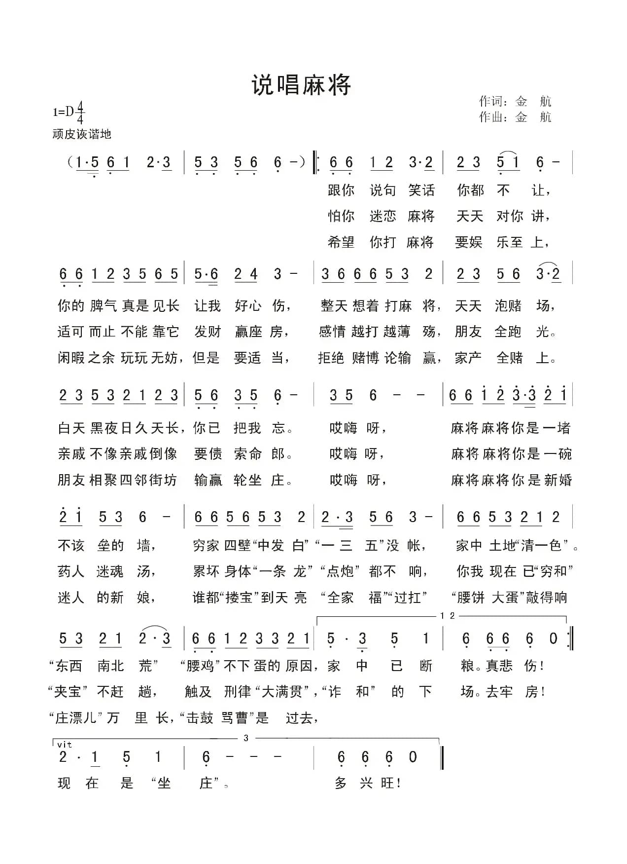
说唱麻将_歌曲简谱_词曲:金航 金航简谱歌词是曲谱查询网于2023年02月01日 00:43:21更新在乐谱大全频道中的内容,收录在乐谱大全栏目中;曲谱查询网分享的说唱麻将_歌曲简谱_词曲:金航 金航简谱五线谱高清图片,欢迎在线免费下载;曲谱查询网无需注册,即可直接下载海量歌曲谱与乐器学习相关资料。
曲谱查询网收录古今中外海量歌曲谱,如歌曲简谱、乐曲五线谱、PDF乐谱、戏曲谱、器乐相关资源下载等,欢迎查阅!

说唱麻将_歌曲简谱_词曲:金航 金航简谱歌词是曲谱查询网于2023年02月01日 00:43:21更新在乐谱大全频道中的内容,收录在乐谱大全栏目中;曲谱查询网分享的说唱麻将_歌曲简谱_词曲:金航 金航简谱五线谱高清图片,欢迎在线免费下载;曲谱查询网无需注册,即可直接下载海量歌曲谱与乐器学习相关资料。
本文展示由胡友制谱记谱的歌谱 我心永恒(小提琴练习曲),词/曲 詹姆斯·霍纳,演唱 …欢迎免费试听我心永恒(小提琴练习曲)乐曲,下载歌曲的乐谱与伴奏。...
12 我心永恒 詹姆斯霍纳本篇展示 孙国良s88 分享的乐曲谱 我(孙国良词 黄永杰曲),由孙国良 黄永杰 词/曲, 演唱…欢迎免费试听我(孙国良词 黄永杰曲)乐曲,下载乐谱与伴奏。...
579 我 孙国良 黄永杰本文展示由剑文音乐工作室制谱记谱的歌谱 美丽的中国梦(何也词 周堃曲),词/曲 何也 周堃,演唱 …欢迎免费试听美丽的中国梦(何也词 周堃曲)乐曲,下载歌曲的乐谱与伴奏。《美丽的中国梦》文本歌词美丽的中国梦—— 何也作词;周堃作曲美丽的中国梦,美丽的中国松,美丽的中国梦,美丽的中国龙。美丽的中国梦,...
436 美丽的中国梦 何也 周堃本文展示由海之韵记谱记谱的歌谱 小康不小康关键看老乡,词/曲 邬大为 罗雨 蔡国明 伍嘉冀,演唱 张小五…欢迎免费试听小康不小康关键看老乡乐曲,下载歌曲的乐谱与伴奏。...
1470 小康不小康关键看老乡 邬大为 罗雨 蔡国明 伍嘉冀张小五本文展示由谱友陈尊学上传记谱的歌谱 运动员进行曲(圆号分谱线),词/曲 军乐团创作组,吴光锐李明秀贾双执笔,演唱 …欢迎免费试听运动员进行曲(圆号分谱线)乐曲,下载歌曲的乐谱与伴奏。...
250 运动员进行曲军乐团创作组 吴光锐李明秀贾双执笔本文展示由自制记谱的歌谱 这辈子和你牵手到老,词/曲 郑世杰 阿勇泽让,演唱 郑世杰…欢迎免费试听这辈子和你牵手到老乐曲,下载歌曲的乐谱与伴奏。歌曲《这辈子和你牵手到老 [1] 》由著名藏族音乐人阿勇泽让作曲,歌手郑世杰操刀作词并演唱的一首原创音乐作品。MP3试听:http://www.mtv123...
404 这辈子和你牵手到老 郑世杰 阿勇泽让郑世杰本文展示由谱友囍杨杨上传记谱的歌谱 我爱这蓝色的海洋(军旅歌曲),词/曲 胡宝善,王传流 胡宝善,演唱 廖昌永…欢迎免费试听我爱这蓝色的海洋(军旅歌曲)乐曲,下载歌曲的乐谱与伴奏。八字歌名...
618 我爱这蓝色的海洋 胡宝善 王传流 胡宝善廖昌永本文展示由浩淋制谱记谱的歌谱 快乐的小乐队(中阮分谱),词/曲 曾加庆编曲,演唱 …欢迎免费试听快乐的小乐队(中阮分谱)乐曲,下载歌曲的乐谱与伴奏。...
318 快乐的小乐队 曾加庆编曲本文展示由秋叶起舞记谱上传记谱的歌谱 草原天堂(李勇 词曲),词/曲 李勇 李勇,演唱 胥拉齐…欢迎免费试听草原天堂(李勇 词曲)乐曲,下载歌曲的乐谱与伴奏。《草原天堂》文本歌词《草原天堂》演唱:胥拉齐作词:多情流星(李勇)作曲:多情流星(李勇)云儿飘飘自由地飞草原风光无限的美茫茫的大草原让人醉蒙古...
767 草原天堂 李勇 李勇胥拉齐本文展示由君羊 制谱记谱的歌谱 多少次想你(黎敦武词 丛伟曲),词/曲 黎敦武 丛伟,演唱 丛伟…欢迎免费试听多少次想你(黎敦武词 丛伟曲)乐曲,下载歌曲的乐谱与伴奏。...
1420 多少次想你 黎敦武 丛伟丛伟本文展示由天恩记谱记谱的歌谱 相逢(柳啟強词 許冠傑曲),词/曲 柳啟強 許冠傑,演唱 許冠英…欢迎免费试听相逢(柳啟強词 許冠傑曲)乐曲,下载歌曲的乐谱与伴奏。《相逢》文本歌词歌词:人群裏跟妳相逢亮似心底裏彩虹期望時刻再與共編織優美的夢情懷那般的深融像鳥飛海闊蒼穹忘掉了一切顧慮把我熱情遞送我的心給...
529 相逢 柳啟強 許冠傑許冠英本文展示由兰语神韵记谱作品记谱的歌谱 Brave Soul,词/曲 神思者,演唱 …欢迎免费试听Brave Soul乐曲,下载歌曲的乐谱与伴奏。这是一首震撼人心的音乐,谨请聆听!...
945 Brave Soul 神思者| 留言与评论(共有 0 条评论) |
