
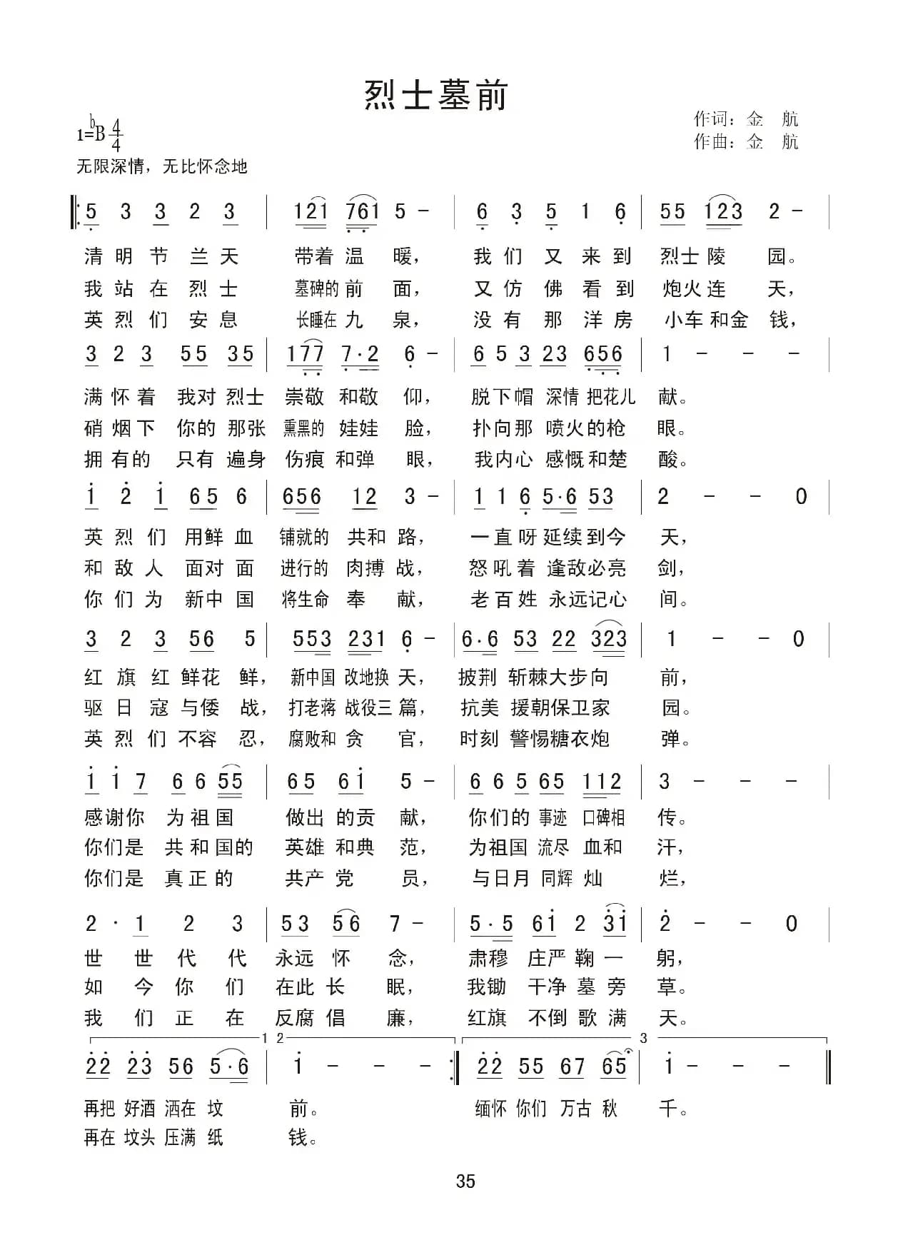
烈士墓前_歌曲简谱_词曲:金航 金航简谱歌词是曲谱查询网于2023年02月02日 19:59:49更新在乐谱大全频道中的内容,收录在乐谱大全栏目中;曲谱查询网分享的烈士墓前_歌曲简谱_词曲:金航 金航简谱五线谱高清图片,欢迎在线免费下载;曲谱查询网无需注册,即可直接下载海量歌曲谱与乐器学习相关资料。
曲谱查询网收录古今中外海量歌曲谱,如歌曲简谱、乐曲五线谱、PDF乐谱、戏曲谱、器乐相关资源下载等,欢迎查阅!

烈士墓前_歌曲简谱_词曲:金航 金航简谱歌词是曲谱查询网于2023年02月02日 19:59:49更新在乐谱大全频道中的内容,收录在乐谱大全栏目中;曲谱查询网分享的烈士墓前_歌曲简谱_词曲:金航 金航简谱五线谱高清图片,欢迎在线免费下载;曲谱查询网无需注册,即可直接下载海量歌曲谱与乐器学习相关资料。
本篇展示 范曙光 分享的乐曲谱 喊一声 我的故乡(范曙光 词曲),由范曙光 范曙光 词/曲,安新华 演唱…欢迎免费试听喊一声 我的故乡(范曙光 词曲)乐曲,下载乐谱与伴奏。...
270 喊一声 我的故乡 范曙光 范曙光安新华本文展示由谱友天恩上传记谱的歌谱 黔江雪,词/曲 肖慧峰 裘怡玲,演唱 祁乐乐…欢迎免费试听黔江雪乐曲,下载歌曲的乐谱与伴奏。《黔江雪》文本歌词黔江雪 - 祁乐乐词:肖慧峰曲:裘怡玲编曲:大约冬季后期:惠永平夜沁寒月无语星无言空庭飞絮似梅花初绽眉眼静静滑落君遥远岁岁离落丹青难画颜夜阑珊独自沉吟久凭栏...
1471 黔江雪 肖慧峰 裘怡玲祁乐乐本文展示由蔡少亮制谱记谱的歌谱 肯去承担爱(香港电视剧《射雕英雄传之东邪西毒》插曲),词/曲 黄霑 顾嘉辉,演唱 甄妮…欢迎免费试听肯去承担爱(香港电视剧《射雕英雄传之东邪西毒》插曲)乐曲,下载歌曲的乐谱与伴奏。《肯去承担爱》文本歌词肯去承担爱香港电视剧《射雕英雄传之东邪西毒》插曲黄霑词顾嘉辉...
746 肯去承担爱 黄霑 顾嘉辉甄妮本文展示由制谱记谱的歌谱 Let There Be Peace on Earth合唱谱,词/曲 ,演唱 …欢迎免费试听Let There Be Peace on Earth合唱谱乐曲,下载歌曲的乐谱与伴奏。...
87 Let There Be Peace onEarth合唱谱本文展示由章祥兴制谱记谱的歌谱 花好月圆(民乐合奏总谱、简谱版),词/曲 黄贻钧曲 彭修文改编,演唱 …欢迎免费试听花好月圆(民乐合奏总谱、简谱版)乐曲,下载歌曲的乐谱与伴奏。...
247 花好月圆本文展示由小叶歌吉他扒谱制谱记谱的歌谱 太阳最红 毛主席最亲(吉他独奏曲),词/曲 王锡仁 秦 川,演唱 …欢迎免费试听太阳最红 毛主席最亲(吉他独奏曲)乐曲,下载歌曲的乐谱与伴奏。...
680 王锡仁本文展示由张忍干制谱记谱的歌谱 军旅歌曲100首:望星空,词/曲 石祥 铁源,演唱 …欢迎免费试听军旅歌曲100首:望星空乐曲,下载歌曲的乐谱与伴奏。...
499 军旅歌曲100首 望星空 石祥 铁源本文展示由根据录音记谱记谱的歌谱 一铺滩滩杨柳树(吴碧霞演唱),词/曲 赵越 张文秀,演唱 吴碧霞…欢迎免费试听一铺滩滩杨柳树(吴碧霞演唱)乐曲,下载歌曲的乐谱与伴奏。...
491 一铺滩滩杨柳树 赵越张文秀吴碧霞本文展示由岭南印象制谱记谱的歌谱 风含情水含笑(又名:风含情 水含笑),词/曲 吴颂今 韩乘光,演唱 杨钰莹…欢迎免费试听风含情水含笑(又名:风含情 水含笑)乐曲,下载歌曲的乐谱与伴奏。...
524 风含情水含笑 吴颂今 韩乘光杨钰莹本文展示由自制谱记谱的歌谱 凤凰岭上祝红军,词/曲 石汉 张蕊,演唱 …欢迎免费试听凤凰岭上祝红军乐曲,下载歌曲的乐谱与伴奏。...
678 凤凰岭上祝红军 石汉张蕊本文展示由改编者:Phillip Chung记谱的歌谱 Trout(鳟鱼),词/曲 舒伯特,演唱 …欢迎免费试听Trout(鳟鱼)乐曲,下载歌曲的乐谱与伴奏。...
893 Trout舒伯特本文展示由当我们年轻时光——英文名歌100首记谱的歌谱 登上顶峰(英汉),词/曲 ,演唱 …欢迎免费试听登上顶峰(英汉)乐曲,下载歌曲的乐谱与伴奏。《登上顶峰(英汉)》文本歌词登上顶峰(英汉)[美]格洛莉亚·伊斯特芬[美]黛安·沃伦 词曲 薛 范 译配...
128 登上顶峰| 留言与评论(共有 0 条评论) |
