
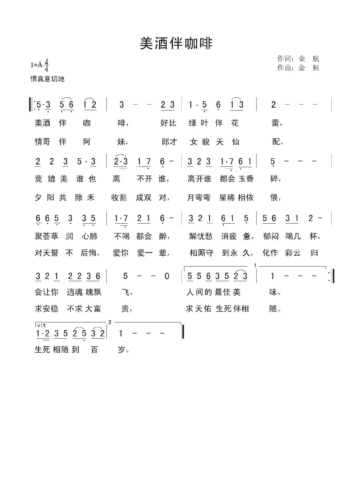
美酒伴咖啡_歌曲简谱_词曲:金航 金航简谱歌词是曲谱查询网于2023年02月02日 22:39:03更新在乐谱大全频道中的内容,收录在乐谱大全栏目中;曲谱查询网分享的美酒伴咖啡_歌曲简谱_词曲:金航 金航简谱五线谱高清图片,欢迎在线免费下载;曲谱查询网无需注册,即可直接下载海量歌曲谱与乐器学习相关资料。
曲谱查询网收录古今中外海量歌曲谱,如歌曲简谱、乐曲五线谱、PDF乐谱、戏曲谱、器乐相关资源下载等,欢迎查阅!

美酒伴咖啡_歌曲简谱_词曲:金航 金航简谱歌词是曲谱查询网于2023年02月02日 22:39:03更新在乐谱大全频道中的内容,收录在乐谱大全栏目中;曲谱查询网分享的美酒伴咖啡_歌曲简谱_词曲:金航 金航简谱五线谱高清图片,欢迎在线免费下载;曲谱查询网无需注册,即可直接下载海量歌曲谱与乐器学习相关资料。
本文展示由谱友高飞5210上传记谱的歌谱 时空之轮 ( Chrono Trigger),词/曲 光田康典,演唱 …欢迎免费试听时空之轮 ( Chrono Trigger)乐曲,下载歌曲的乐谱与伴奏。...
814 时空之轮光田康典本文展示由歌友传递记谱的歌谱 荷塘月色,词/曲 张超 张超,演唱 凤凰传奇…欢迎免费试听荷塘月色乐曲,下载歌曲的乐谱与伴奏。...
284 荷塘月色 张超 张超凤凰传奇本文展示由根据MP3记录记谱的歌谱 成一门亲事多一个娘(电视剧《阿霞》片尾曲),词/曲 不详 不详,演唱 不详…欢迎免费试听成一门亲事多一个娘(电视剧《阿霞》片尾曲)乐曲,下载歌曲的乐谱与伴奏。...
714 成一门亲事多一个娘 不详不详不详本篇展示 词曲王雪玲 分享的乐曲谱 今夜又明月(吕桂田词 王雪玲曲),由吕桂田 王雪玲 词/曲,王雪玲 演唱…欢迎免费试听今夜又明月(吕桂田词 王雪玲曲)乐曲,下载乐谱与伴奏。(合作曲目)中秋佳节专题祝福歌曲。(独唱·流行·民谣风 / 吕桂田作词 / 王雪玲作曲 制谱打印 / 试唱录制简易小样·原创...
587 今夜又明月 吕桂田 王雪玲本篇展示 沉香21 分享的乐曲谱 志愿空军战歌,由李文清 陈志昂 词/曲, 演唱…欢迎免费试听志愿空军战歌乐曲,下载乐谱与伴奏。...
410 志愿空军战歌 李文清 陈志昂本文展示由岭南印象记谱的歌谱 山地情歌(林玉英演唱版),词/曲 许常德 罗大佑,演唱 林玉英…欢迎免费试听山地情歌(林玉英演唱版)乐曲,下载歌曲的乐谱与伴奏。《山地情歌》文本歌词许常德词罗大佑曲林玉英演唱Music…1. (国)多少痛苦多少眼泪为你流,为你流浪到台北。一个人寂寞为你把歌唱,想念着好哥...
369 山地情歌 许常德罗大佑林玉英本篇展示 向邦瑜 分享的乐曲谱 不老的情歌,由向邦瑜 向邦瑜 词/曲,向邦瑜 演唱…欢迎免费试听不老的情歌乐曲,下载乐谱与伴奏。五十年前的一次遇见,让我认识了心中的她,婀娜的身姿甜美的微笑,盛开了心里的一朵花。MV欣赏:https://v.youku.com/v_show/id_XNDEyNzQ5M...
100 不老的情歌 向邦瑜本文展示由岭南印象记谱的歌谱 琵琶泪,词/曲 佚名 佚名,演唱 李玲玉…欢迎免费试听琵琶泪乐曲,下载歌曲的乐谱与伴奏。《琵琶泪》文本歌词佚名词曲李玲玉演唱Music…琵琶啊我的琵琶,战战如惊不喧哗,只听的啼声嗒塔,我想停止划弦指甲,嘴里露出心里的话。琵琶啊我的琵琶,今天没有心情发芽,眼泪又挂指滴呀,...
134 琵琶泪李玲玉 佚名本篇展示 开花结果多多 分享的乐曲谱 952 圣灵动工除拦阻(开花结果词 天堂美曲),由开花结果 天堂美 词/曲,天堂美 演唱…欢迎免费试听952 圣灵动工除拦阻(开花结果词 天堂美曲)乐曲,下载乐谱与伴奏。神的工作,是神喜悦的,所以利国利民......胜过拦阻.....MP3试听:开花结果原创诗歌...
609 952 圣灵动工除拦阻 开花结果 天堂美天堂美本文展示由秋叶起舞记谱上传记谱的歌谱 忆江南(陈小奇词曲),词/曲 陈小奇 陈小奇,演唱 赖惠英…欢迎免费试听忆江南(陈小奇词曲)乐曲,下载歌曲的乐谱与伴奏。《忆江南》文本歌词忆江南 陈小奇词曲 赖惠英演唱有几回在风里摇着船摇到我日思夜想的江南有几回在雨里采着莲采到生我养我的运河边尘封的心常为你...
849 忆江南 陈小奇 陈小奇赖惠英本文展示由谱友还不错上传记谱的歌谱 珊瑚颂(老人适用),词/曲 单文等 胡士平、王锡仁,演唱 …欢迎免费试听珊瑚颂(老人适用)乐曲,下载歌曲的乐谱与伴奏。...
116 珊瑚颂 单文 胡士平 王锡仁本文展示由君羊 制谱记谱的歌谱 飘雨的秋(刘文金、刘艳梅词 王帅曲),词/曲 刘文金、刘艳梅 王帅,演唱 安东阳…欢迎免费试听飘雨的秋(刘文金、刘艳梅词 王帅曲)乐曲,下载歌曲的乐谱与伴奏。...
223 飘雨的秋 刘文金 刘艳梅 王帅安东阳本篇展示 张延道 分享的乐曲谱 梅花古镯,由陈新玲 张延道 词/曲,美不起来 演唱…欢迎免费试听梅花古镯乐曲,下载乐谱与伴奏。...
937 梅花古镯 陈新玲 张延道美不起来本篇展示 刘祚志 分享的乐曲谱 观点(词曲 刘祚志),由刘祚志 刘祚志 词/曲, 演唱…欢迎免费试听观点(词曲 刘祚志)乐曲,下载乐谱与伴奏。...
217 观点 刘祚志| 留言与评论(共有 0 条评论) |
