


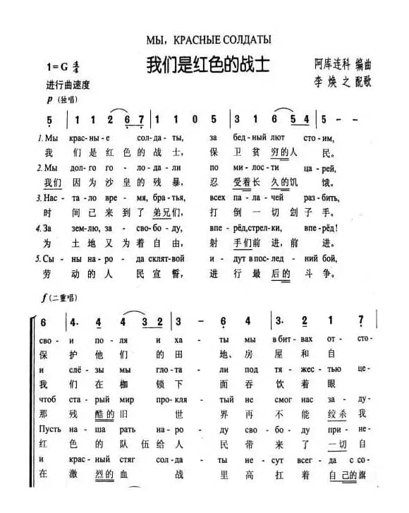
我们是红色战士Мы красные солдаты_歌曲简谱_词曲:佚,名 词曲 巴•阿库连柯 改编简谱歌词是曲谱查询网于2023年02月26日 22:48:57更新在乐谱大全频道中的内容,收录在乐谱大全栏目中;曲谱查询网分享的我们是红色战士Мы красные солдаты_歌曲简谱_词曲:佚,名 词曲 巴•阿库连柯 改编简谱五线谱高清图片,欢迎在线免费下载;曲谱查询网无需注册,即可直接下载海量歌曲谱与乐器学习相关资料。
曲谱查询网收录古今中外海量歌曲谱,如歌曲简谱、乐曲五线谱、PDF乐谱、戏曲谱、器乐相关资源下载等,欢迎查阅!



我们是红色战士Мы красные солдаты_歌曲简谱_词曲:佚,名 词曲 巴•阿库连柯 改编简谱歌词是曲谱查询网于2023年02月26日 22:48:57更新在乐谱大全频道中的内容,收录在乐谱大全栏目中;曲谱查询网分享的我们是红色战士Мы красные солдаты_歌曲简谱_词曲:佚,名 词曲 巴•阿库连柯 改编简谱五线谱高清图片,欢迎在线免费下载;曲谱查询网无需注册,即可直接下载海量歌曲谱与乐器学习相关资料。
本文展示由谱友陈尊学上传记谱的歌谱 1人民海军向前进(长短笛分谱)军乐简,词/曲 魏群,演唱 …欢迎免费试听1人民海军向前进(长短笛分谱)军乐简乐曲,下载歌曲的乐谱与伴奏。...
356 1人民海军向前进军乐简魏群本篇展示 放飞十月 分享的乐曲谱 我们这一辈萨克斯重奏,由王佑贵 王佑贵 词/曲, 演唱…欢迎免费试听我们这一辈萨克斯重奏乐曲,下载乐谱与伴奏。...
569 我们这一辈萨克斯重奏 王佑贵本文展示由www.xdukulele.com记谱的歌谱 一场游戏一场梦(ukulele四线谱),词/曲 ,演唱 王杰…欢迎免费试听一场游戏一场梦(ukulele四线谱)乐曲,下载歌曲的乐谱与伴奏。...
859 一场游戏一场梦王杰本文展示由谱友天恩上传记谱的歌谱 最美的光(儿童歌曲),词/曲 任书怀 任书怀,演唱 尚琪祺…欢迎免费试听最美的光(儿童歌曲)乐曲,下载歌曲的乐谱与伴奏。《最美的光》文本歌词歌词:最美的光词曲:任书怀演唱:尚琪祺天上的星星,一眨一眨亮晶晶我许下的愿望,就像一颗水晶汗水伴着我,一步一步往前闯也常会有泪...
702 最美的光 任书怀 尚琪祺本文展示由谱友zhangkaij'p上传记谱的歌谱 秦腔即兴曲,词/曲 佚名 张凯笛子,演唱 …欢迎免费试听秦腔即兴曲乐曲,下载歌曲的乐谱与伴奏。...
16 秦腔即兴曲张凯笛子 佚名本文展示由改编记谱的歌谱 醉人的草原(二胡曲谱)(景楼改编),词/曲 放牧蓝天,演唱 …欢迎免费试听醉人的草原(二胡曲谱)(景楼改编)乐曲,下载歌曲的乐谱与伴奏。...
1362 醉人的草原 放牧蓝天本文展示由谱友庐州电子云上传记谱的歌谱 苏州小四合(二胡中胡分谱),词/曲 ,演唱 …欢迎免费试听苏州小四合(二胡中胡分谱)乐曲,下载歌曲的乐谱与伴奏。...
253 苏州小四合本篇展示 开花结果多多 分享的乐曲谱 新年大恩典【伴奏2】(开花结果作词),由开花结果 相思树 词/曲,国真强|耶律雅歌 演唱…欢迎免费试听新年大恩典【伴奏2】(开花结果作词)乐曲,下载乐谱与伴奏。求上帝祝福人人新年里得大恩典MP3试听:http://5sing.kugou.com/bz/33663...
128 新年大恩典【伴奏2】 开花结果 相思树国真强|耶律雅歌本篇展示 高福友 分享的乐曲谱 如果(陈少杰词 高福友曲),由陈少杰 高福友 词/曲,莫愁弦子 演唱…欢迎免费试听如果(陈少杰词 高福友曲)乐曲,下载乐谱与伴奏。...
406 如果 陈少杰 高福友莫愁弦子 高福友本篇展示 袁龙(1) 分享的乐曲谱 春雨春雨滴答答(儿童歌曲),由袁龙 袁龙 词/曲, 演唱…欢迎免费试听春雨春雨滴答答(儿童歌曲)乐曲,下载乐谱与伴奏。春雨春雨一直下,春雨春雨滴答答。引来春风巧助兴,乐得花儿笑哈哈。《春雨春雨滴答答(儿童歌曲)》文本歌词春雨春雨一直下,春雨春雨滴答答。引来春风巧...
180 春雨春雨滴答答 袁龙本篇展示 陈涤非 分享的乐曲谱 只为了梦里那个“世界杯”,由赵严华 陈涤非 词/曲, 演唱…欢迎免费试听只为了梦里那个“世界杯”乐曲,下载乐谱与伴奏。...
81 只为了梦里那个“世界杯” 赵严华 陈涤非本文展示由沈公宝 制谱记谱的歌谱 爸爸的酒,词/曲 马双云 江小城,演唱 江小城…欢迎免费试听爸爸的酒乐曲,下载歌曲的乐谱与伴奏。...
922 爸爸的酒 马双云江小城江小城本文展示由谱友恒流星上传记谱的歌谱 空城计·我本是卧龙岗散淡的人(京胡伴奏谱),词/曲 暂无 恒流星制谱,演唱 杨伟操琴…欢迎免费试听空城计·我本是卧龙岗散淡的人(京胡伴奏谱)乐曲,下载歌曲的乐谱与伴奏。...
476 空城计 我本是卧龙岗散淡的人 恒流星 杨伟操琴| 留言与评论(共有 0 条评论) |
