![[黄梅戏]击鼓骂曹(改编自京剧)](http://img1.qpcxw.com/uploads/images/yuepu/009/s2rw3fkyl5i.webp)
![[黄梅戏]击鼓骂曹(改编自京剧)](http://img1.qpcxw.com/uploads/images/yuepu/009/5sr1idjvhbi.webp)
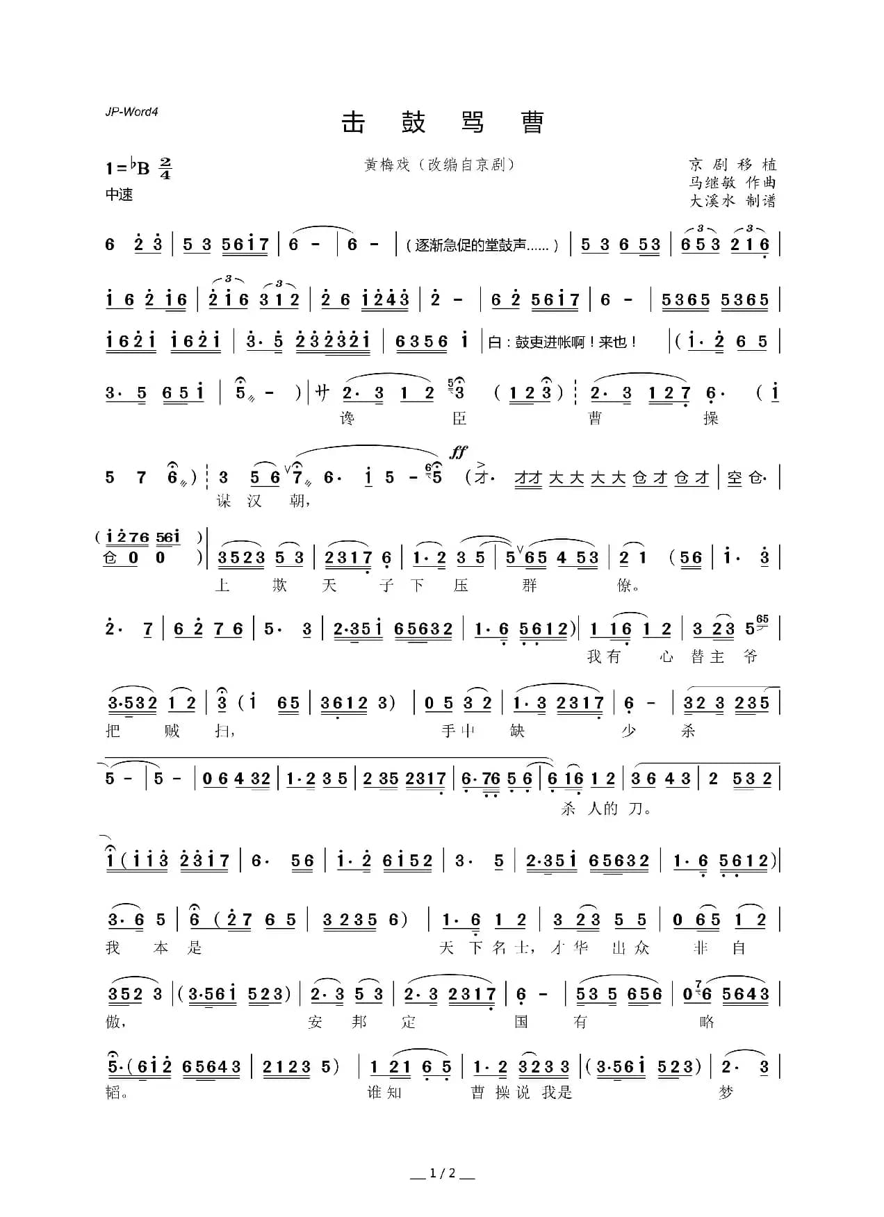
《[黄梅戏]击鼓骂曹》文本歌词
击鼓骂曹(改编自京剧)
作词:佚名 作曲:马继敏
谗臣曹操谋汉朝,
上欺天子下压群僚。
我有心替主爷把贼扫,
手中缺少杀杀人的刀。
我本是天下名士,
才华出众非自傲,
安邦定国有略韬。
谁知曹操说我是梦颠倒,
辱为鼓吏为贼饮酒欢乐做苦劳。
(白:诶!)
昔日姜尚运衰渭河曾垂钓,
运来筹谋保周朝。
为人不受苦中苦,
焉能脱去蓝衫换紫袍?
主席坐的奸曹操,
上坐文武众群僚,
元旦节予他不祥(啊)兆,
假做疯魔骂奸曹。
将身来至东廊道,
(白:曹丞相!)
听我击鼓叫贼的魂消。
[黄梅戏]击鼓骂曹_歌曲简谱_词曲:佚名 马继敏简谱歌词是曲谱查询网于2023年03月02日 15:50:26更新在乐谱大全频道中的内容,收录在乐谱大全栏目中;曲谱查询网分享的[黄梅戏]击鼓骂曹_歌曲简谱_词曲:佚名 马继敏简谱五线谱高清图片,欢迎在线免费下载;曲谱查询网无需注册,即可直接下载海量歌曲谱与乐器学习相关资料。





![秋窗风雨夕_歌曲简谱_词曲:[清]曹雪芹 王立平](http://pic.qpcxw.com/uploads/img/010/mdh31gza0wf.webp)




















