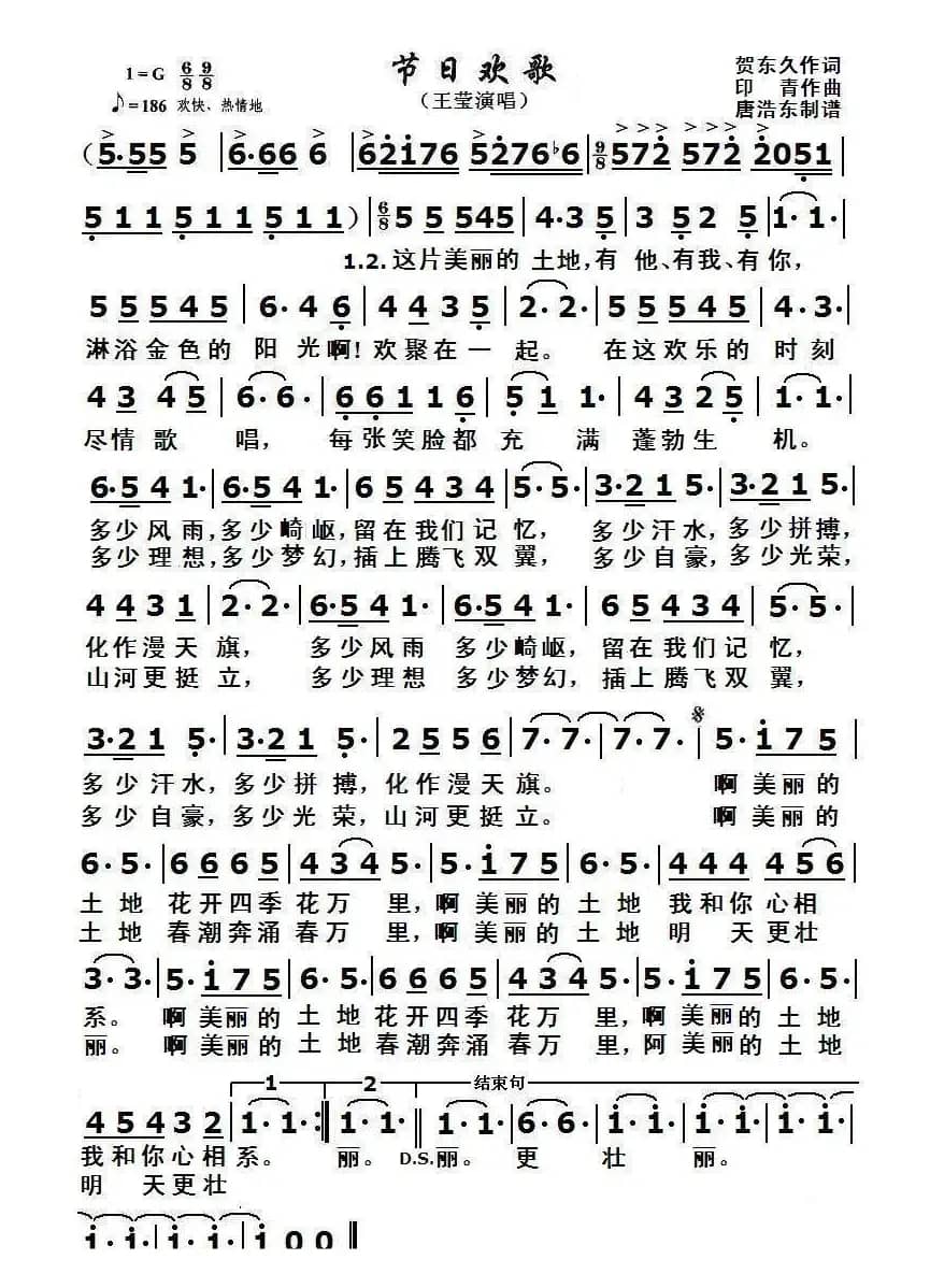
名称:节日欢歌 贺东久词 印青曲
艺术家:王莹
国家:中国
作词:贺东久
作曲:印青
演唱:王莹
分类:曲谱
子类:歌谱乐谱
类型:简谱
文件格式:jpg

《节日欢歌》文本歌词
节日欢歌
这片美丽的土地,有他有我有你
沐浴金色的阳光,那欢聚在一起
在这欢乐的时刻,尽情歌唱
每张笑脸都充满蓬勃生机
多少风雨,多少奇迹,留在我们记忆,
多少汗水,多少拼搏,化做满天旗
多少风雨,多少奇迹,留在我们记忆,
多少汗水,多少拼搏,化做满天旗,
啊,美丽的土地,花开四季花万里;
啊,美丽的土地,我们以心相吸,
啊,美丽的土地,花开四季花万里,
啊,美丽的土地,我们以心相吸
这片美丽的土地,有他有我有你
沐浴金色的阳光,那欢聚在一起
在这欢乐的时刻,尽情歌唱
每张笑脸都充满蓬勃生机
多少风雨,多少奇迹,留在我们记忆,
多少汗水,多少拼搏,化做满天旗
多少风雨,多少奇迹,留在我们记忆,
多少汗水,多少拼搏,化做满天旗
啊,美丽的土地,春潮奔涌春万里;
啊,美丽的土地,明天更壮丽;
啊,美丽的土地,春潮奔涌春万里;
啊,美丽的土地,明天更壮丽;
啊,美丽的土地,春潮奔涌春万里;
啊,美丽的土地,明天更壮丽;
啊,美丽的土地,春潮奔涌春万里;
啊,美丽的土地,明天更壮丽; 更壮丽。












