



























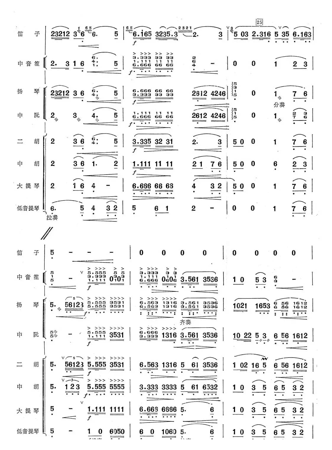
春到湘江_歌曲简谱_词曲: 宁保生简谱歌词是曲谱查询网于2023年03月07日 12:53:02更新在乐谱大全频道中的内容,收录在乐谱大全栏目中;曲谱查询网分享的春到湘江_歌曲简谱_词曲: 宁保生简谱五线谱高清图片,欢迎在线免费下载;曲谱查询网无需注册,即可直接下载海量歌曲谱与乐器学习相关资料。
曲谱查询网收录古今中外海量歌曲谱,如歌曲简谱、乐曲五线谱、PDF乐谱、戏曲谱、器乐相关资源下载等,欢迎查阅!




























春到湘江_歌曲简谱_词曲: 宁保生简谱歌词是曲谱查询网于2023年03月07日 12:53:02更新在乐谱大全频道中的内容,收录在乐谱大全栏目中;曲谱查询网分享的春到湘江_歌曲简谱_词曲: 宁保生简谱五线谱高清图片,欢迎在线免费下载;曲谱查询网无需注册,即可直接下载海量歌曲谱与乐器学习相关资料。
本篇展示 杨洪波 分享的乐曲谱 深深爱上你(男高音独唱),由生吉俐 杨洪波 词/曲,马腾 演唱…欢迎免费试听深深爱上你(男高音独唱)乐曲,下载乐谱与伴奏。...
972 深深爱上你 生吉俐 杨洪波马腾本文展示由天问地李记谱记谱的歌谱 中国火箭军进行曲,词/曲 集体 楚兴元,演唱 …欢迎免费试听中国火箭军进行曲乐曲,下载歌曲的乐谱与伴奏。据网易视频mp3记谱MP3试听:http://www.meili.cn/news/shipin/2016/02/12/227627.htmlMV欣赏:http:...
808 中国火箭军进行曲 集体 楚兴元本文展示由桃李醉春风记谱记谱的歌谱 不记年,词/曲 安不之 贺鑫,演唱 流浪的蛙蛙…欢迎免费试听不记年乐曲,下载歌曲的乐谱与伴奏。原唱+伴奏:http://bbs.qupu123.com/thread-6259-1-1.htmlMP3试听:http://bbs.qupu123.com/threa...
556 不记年 安不之 贺鑫流浪的蛙蛙本篇展示 黄进军作曲 分享的乐曲谱 老爸老妈(赵富有 尚云朵词 黄进军曲),由赵富有, 尚云朵 黄进军 词/曲, 演唱…欢迎免费试听老爸老妈(赵富有 尚云朵词 黄进军曲)乐曲,下载乐谱与伴奏。...
183 老爸老妈 赵富有 尚云朵 黄进军本文展示由据陈蓉晖演奏视频 林中记录记谱的歌谱 燕子 小提琴,词/曲 哈萨克族民歌 哈萨克族民歌 周天,演唱 陈蓉晖演奏…欢迎免费试听燕子 小提琴乐曲,下载歌曲的乐谱与伴奏。哈萨克族民歌,周天编配,旅美华裔小提琴家陈蓉晖演奏。MV欣赏:https://v.youku.com/v_show/id...
571 燕子 小提琴 哈萨克族民歌 哈萨克族民歌周天陈蓉晖演奏本文展示由侍书琴社整理记谱的歌谱 吉他12调式各级三和弦表(吉他基础三和弦完全列表),词/曲 ,演唱 …欢迎免费试听吉他12调式各级三和弦表(吉他基础三和弦完全列表)乐曲,下载歌曲的乐谱与伴奏。...
825 吉他12调式各级三和弦表本文展示由谱友写轮指上传记谱的歌谱 月半小夜曲(简和谱),词/曲 向雪怀 河合奈保子,演唱 李克勤…欢迎免费试听月半小夜曲(简和谱)乐曲,下载歌曲的乐谱与伴奏。简和谱,即简谱+和弦组成的乐谱。用于即兴伴奏/演奏,自弹自唱,乐队排练。新手请先阅读以下信息!1.乐谱分为三类:专业版(适合老手)、唯美版(...
765 月半小夜曲 向雪怀 河合奈保子李克勤本篇展示 调琴师 分享的乐曲谱 金沙湖梦(爱国),由刘永国 刘泽湖 词/曲,爱国 演唱…欢迎免费试听金沙湖梦(爱国)乐曲,下载乐谱与伴奏。...
459 金沙湖梦 刘永国 刘泽湖爱国 刘泽湖本文展示由浩淋制谱记谱的歌谱 节日茉莉花(笙分谱),词/曲 李文平编曲,演唱 …欢迎免费试听节日茉莉花(笙分谱)乐曲,下载歌曲的乐谱与伴奏。...
333 节日茉莉花 李文平编曲 茉莉花本文展示由个人制谱记谱的歌谱 [英西双语]Despacito,词/曲 Luis RodríguezErika EnderRamón Ayala Luis RodríguezErika EnderRamón Ayala,演唱 Justin Bieber,Luis Fonsi & Daddy Yanke...
1367 Despacito Luis RodríguezErika EnderRamón Ayala AyalaJustin Bieber Fonsi本篇展示 谢伟 分享的乐曲谱 老院子(黎强词 谢伟曲),由黎强 谢伟 词/曲, 演唱…欢迎免费试听老院子(黎强词 谢伟曲)乐曲,下载乐谱与伴奏。...
908 老院子 黎强 谢伟本文展示由古弓记谱的歌谱 战士拉歌乐 ,词/曲 魏力兴/魏黎 张延道,演唱 丹娘…欢迎免费试听战士拉歌乐 乐曲,下载歌曲的乐谱与伴奏。《战士拉歌乐 》文本歌词https://wsaudiobssdlbig.yun.kugou.com/202308202...
683 战士拉歌乐 魏力兴 魏黎张延道丹娘本篇展示 孙国良s88 分享的乐曲谱 出彩中国人,由孙国良 黄永杰 词/曲, 演唱…欢迎免费试听出彩中国人乐曲,下载乐谱与伴奏。...
649 出彩中国人 孙国良 黄永杰本文展示由桃李醉春风记谱记谱的歌谱 曾经一起当兵的兄弟,词/曲 孙中亮 孙中亮,演唱 许先/孙中亮/玄昌俊…欢迎免费试听曾经一起当兵的兄弟乐曲,下载歌曲的乐谱与伴奏。原唱+伴奏:http://bbs.qupu123.com/thread-6196-1-1.htmlMP3试听:http://bbs...
774 曾经一起当兵的兄弟 孙中亮 孙中亮许先 玄昌俊| 留言与评论(共有 0 条评论) |
