名称:她他
艺术家:徐若瑄
国家:中国
作词:佚名
作曲:佚名
演唱:徐若瑄
分类:曲谱
子类:歌谱乐谱
类型:简谱
文件格式:jpg


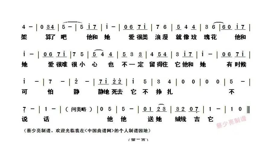
《她他》文本歌词
她他
佚名词曲
徐若瑄演唱
他他 深深爱着她
他他 永远的吗
他他 送她玫瑰花和吉它
她她 也深爱着他
她她 不变的吗
她她 收到的玫瑰花已枯萎了 枯萎了
他和她爱很美浪漫就像玫瑰花
他和她爱很难很小心也不一定留得住它
他和她 有时候可怕 静静地死去它不挣扎 不说话
他他 轻轻吻着她
他他 弹着吉它
他他 最爱摸她的长头发
她她 看着那个他
她爱听他弹吉它
她 寂寞的小世界 被他溶化慢慢溶化
她和他爱的Melody多得挤不下
她和他 人随时也可能没有明天 不要害怕
她和他 让灵魂自由看见爱与被爱在打架 算了吧
他和她爱很美浪漫就像玫瑰花
他和她爱很难很小心也不一定留得住它
他和她有时候可怕 静静地死去它不挣扎 不说话
他他 送她绒线吉它












