
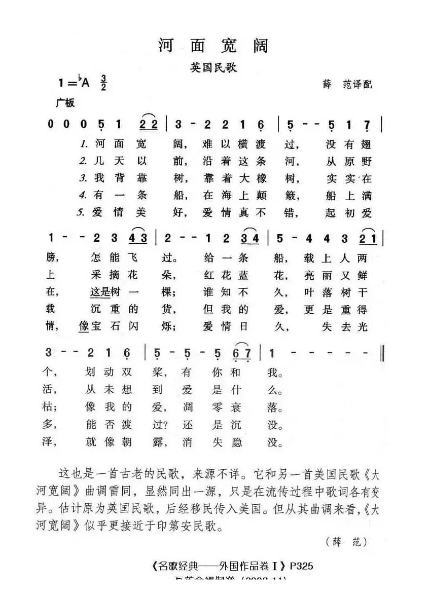
河面宽阔_歌谱投稿_词曲:简谱歌词是曲谱查询网于2023年04月04日 20:31:23更新在曲谱投稿频道中的内容,收录在曲谱投稿栏目中;曲谱查询网分享的河面宽阔_歌谱投稿_词曲:简谱五线谱高清图片,欢迎在线免费下载;曲谱查询网无需注册,即可直接下载海量歌曲谱与乐器学习相关资料。
曲谱查询网收录古今中外海量歌曲谱,如歌曲简谱、乐曲五线谱、PDF乐谱、戏曲谱、器乐相关资源下载等,欢迎查阅!

河面宽阔_歌谱投稿_词曲:简谱歌词是曲谱查询网于2023年04月04日 20:31:23更新在曲谱投稿频道中的内容,收录在曲谱投稿栏目中;曲谱查询网分享的河面宽阔_歌谱投稿_词曲:简谱五线谱高清图片,欢迎在线免费下载;曲谱查询网无需注册,即可直接下载海量歌曲谱与乐器学习相关资料。
本文分享来自 热爱音乐88 的歌谱 中国文明的长河,词/曲 李幼容 ,演唱 王秀芬…欢迎免费下载中国文明的长河乐谱、乐曲、伴奏,...
294 中国文明的长河 李幼容 王秀芬本文分享来自 车里子 的歌谱 月舞荷塘,词/曲 谢有才 蔡烈林,演唱 谢有才…欢迎免费下载月舞荷塘乐谱、乐曲、伴奏,《月舞荷塘》文本歌词荷风阵阵香竹露滴落闻清响鸣琴弹一曲弹落月光落碧塘莫是嫦娥坠玉珰宵来幻出水云乡朦胧月色下池畔淡泊风前有异香那月光 轻舞荷塘之上夜微凉 时光游弋荷塘荷花香 香飘九州河山...
798 月舞荷塘 谢有才 蔡烈林本文分享来自 张宏笛子 的歌谱 孟姜女(葫芦丝演奏提示版),词/曲 ,演唱 …欢迎免费下载孟姜女(葫芦丝演奏提示版)乐谱、乐曲、伴奏,孟姜女: 伴奏+示范+曲谱三件套...
821 孟姜女本文展示由桃李醉春风记谱记谱的歌谱 想说分开不容易(《新还珠格格》插曲),词/曲 ,演唱 钟舒祺…欢迎免费试听想说分开不容易(《新还珠格格》插曲)乐曲,下载歌曲的乐谱与伴奏。歌曲试听:http://www.chaodikong.com/article/2011/0826/article_16105...
388 想说分开不容易钟舒祺本文分享来自 ~金沙浪~ 的歌谱 中国红(苏一一词 崔安强 曲),词/曲 苏一一 崔安强,演唱 方晶晶…欢迎免费下载中国红(苏一一词 崔安强 曲)乐谱、乐曲、伴奏,《中国红》文本歌词采一缕朝阳,凝成中国红,轻轻点在你我的心中。南国的红豆,北疆的灯笼,点出万里山河一片春意浓。摘一片晚霞,染成中国红,轻...
756 中国红 苏一一 崔安强 方晶晶本文展示由秋叶起舞记谱上传记谱的歌谱 粗茶淡饭香,词/曲 景歌 钢子,演唱 张强…欢迎免费试听粗茶淡饭香乐曲,下载歌曲的乐谱与伴奏。《粗茶淡饭香》文本歌词《粗茶淡饭香》作词:景歌作曲:钢子演唱:张强你是中华民族的脊梁支撑着一个民族的梦想成由勤俭败由奢历览古今都这样细水能长流粗茶淡饭香传统不能丢美德不...
202 粗茶淡饭香 景歌 钢子张强本文分享来自 浙mwt6461 的歌谱 小熊布娃娃,词/曲 魏岚 龚耀年,演唱 洪美静…欢迎免费下载小熊布娃娃乐谱、乐曲、伴奏,...
844 小熊布娃娃 魏岚 龚耀年 洪美静本文展示由秋叶起舞 记谱上传记谱的歌谱 藏爱阁,词/曲 吴翰之 吴翰之,演唱 张可儿…欢迎免费试听藏爱阁乐曲,下载歌曲的乐谱与伴奏。《藏爱阁》文本歌词1、我不想就这样一错再错也不想就这样看你难过听我说爱你的依然是我我的心我的爱从未变过2、就这样看着你风抱着我冷冷的傻傻的寂寞角落眼神中脆弱的...
558 藏爱阁 吴翰之 吴翰之张可儿本文分享来自 天天开新 的歌谱 铫皇兄、非是臣、王离了龙书案(上天台唱段),词/曲 ,演唱 于魁智…欢迎免费下载铫皇兄、非是臣、王离了龙书案(上天台唱段)乐谱、乐曲、伴奏,...
567 于魁智本文展示由秋叶起舞 记谱上传记谱的歌谱 鄱湖情歌,词/曲 邓少华 方鸣,演唱 王喆…欢迎免费试听鄱湖情歌乐曲,下载歌曲的乐谱与伴奏。《鄱湖情歌》文本歌词鄱 湖 情 歌词:邓少华曲:方鸣唱:王喆圆圆月儿挂天上,鳞鳞湖水闪银光,点点渔火似红烛,阿妹船头盼情郎,郎啊郎,快快来到我身旁。对对鸬鹚...
100 鄱湖情歌 邓少华 方鸣王喆本文展示由谱友绿水青山记谱的歌谱 问声小平你好,词/曲 王嘉桢 刘诗召,演唱 范琳琳…欢迎免费试听问声小平你好乐曲,下载歌曲的乐谱与伴奏。...
960 问声小平你好 王嘉桢 刘诗召 范琳琳本文展示由E网音乐教室记谱的歌谱 命硬,词/曲 ,演唱 侧田…欢迎免费试听命硬乐曲,下载歌曲的乐谱与伴奏。原谱试听:http://www.chaodikong.com/article/2011/1218/article_18973.html...
995 命硬侧田| 留言与评论(共有 0 条评论) |
