名称:说散就散 电影 前任3:再见前任 主题曲
艺术家:袁娅维
国家:中国
作词:张楚翘
作曲:伍乐城
演唱:袁娅维
分类:曲谱
子类:投稿
类型:简谱/五线谱
文件格式:jpg


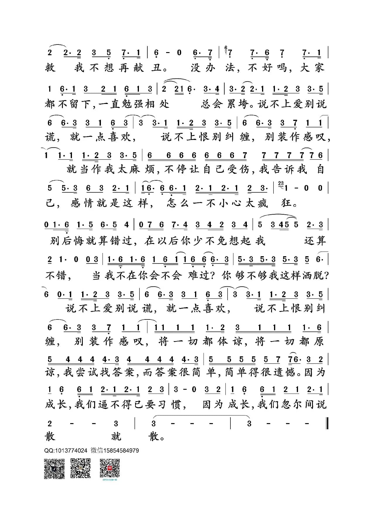
《说散就散》文本歌词
说散就散是电影《前任3:再见前任》主题曲
张楚翘作词 伍乐城作曲 孙世彦制谱 袁娅维演唱
抱一抱就当作从没有在一起
好不好要解释都已经来不及
算了吧我付出过什么没关系
我忽略自己就因为遇见你
没办法好可怕那个我不像话
一直奋不顾身是我太傻
说不上爱别说谎就一点喜欢
说不上恨别纠缠别装作感叹
就当作我太麻烦不停让自己受伤
我告诉我自己感情就是这样
怎么一不小心太疯狂
抱一抱再好好觉悟不能长久
好不好有亏欠我们都别追究
算了吧我付出再多都不足够
我终于得救我不想再献丑
没办法不好吗大家都不留下
一直勉强相处总会累垮
说不上爱别说谎就一点喜欢
说不上恨别纠缠别装作感叹
就当作我太麻烦不停让自己受伤
我告诉我自己感情就是这样
怎么一不小心太疯狂
别后悔就算错过
在以后你少不免想起我
还算不错
当我不在你会不会难过
你够不够我这样洒脱
说不上爱别说谎就一点喜欢
说不上恨别纠缠别装作感叹
将一切都体谅将一切都原谅
我尝试找答案而答案很简单
简单得很遗憾
因为成长我们逼不得已要习惯
因为成长我们忽尔间说散就散










