老年朋友专用歌谱

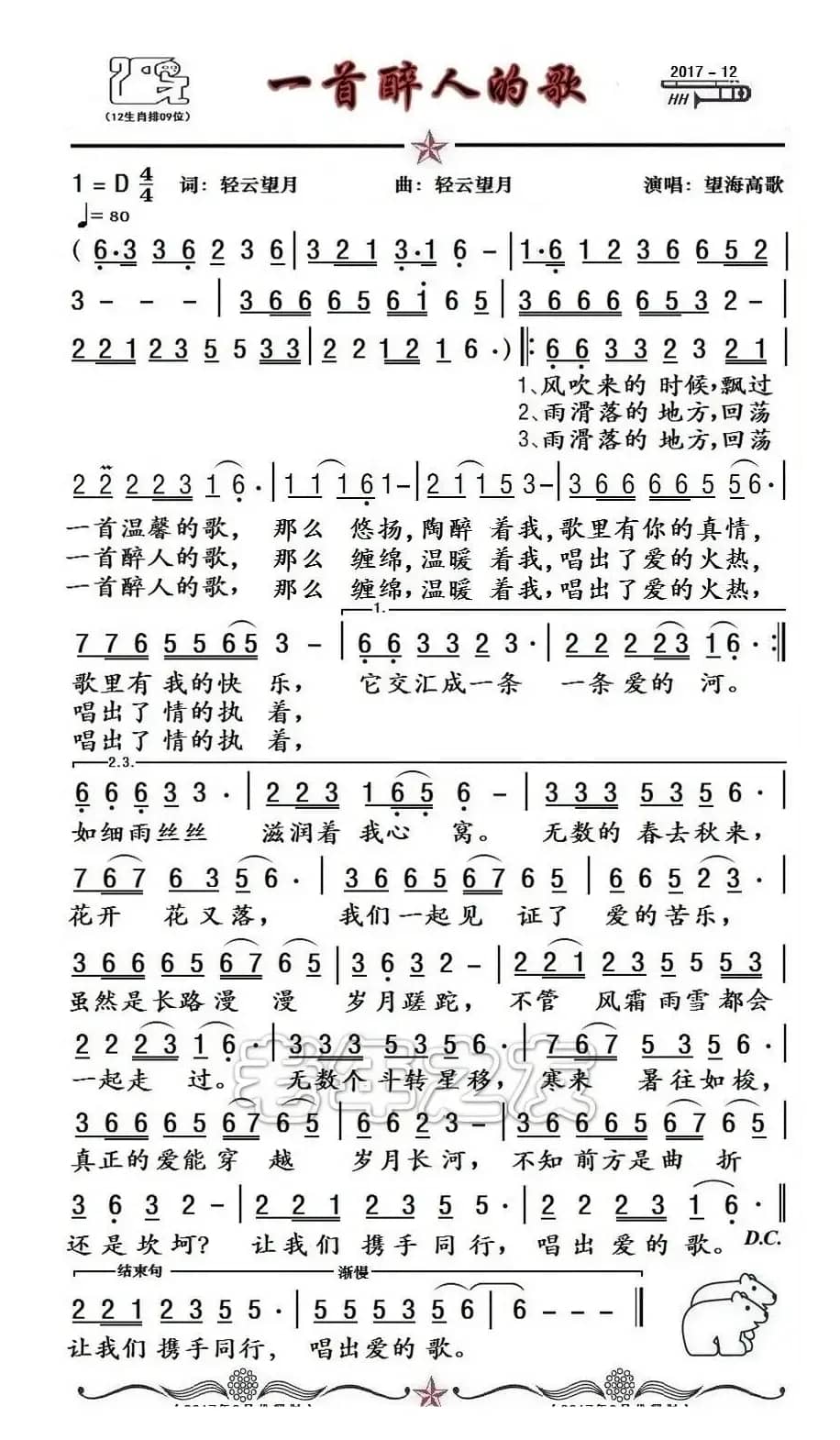
一首醉人的歌_歌谱投稿_词曲:轻云望月 望海高歌简谱歌词是曲谱查询网于2023年04月24日 23:35:00更新在曲谱投稿频道中的内容,收录在曲谱投稿栏目中;曲谱查询网分享的一首醉人的歌_歌谱投稿_词曲:轻云望月 望海高歌简谱五线谱高清图片,欢迎在线免费下载;曲谱查询网无需注册,即可直接下载海量歌曲谱与乐器学习相关资料。
曲谱查询网收录古今中外海量歌曲谱,如歌曲简谱、乐曲五线谱、PDF乐谱、戏曲谱、器乐相关资源下载等,欢迎查阅!
老年朋友专用歌谱

一首醉人的歌_歌谱投稿_词曲:轻云望月 望海高歌简谱歌词是曲谱查询网于2023年04月24日 23:35:00更新在曲谱投稿频道中的内容,收录在曲谱投稿栏目中;曲谱查询网分享的一首醉人的歌_歌谱投稿_词曲:轻云望月 望海高歌简谱五线谱高清图片,欢迎在线免费下载;曲谱查询网无需注册,即可直接下载海量歌曲谱与乐器学习相关资料。
本文分享来自 幻影穿越者 的歌谱 恋に恋して(名侦探柯南片尾曲),词/曲 ,演唱 仓木麻衣…欢迎免费下载恋に恋して(名侦探柯南片尾曲)乐谱、乐曲、伴奏,本谱是我根据原曲编出来的钢琴改编曲,因为要贴合原曲所以略有难度。由于使用了重复记号嵌套式,这里做一下说明先从头开始,进入1格子,根据小节线重复记号...
1000 恋に恋して 仓木麻衣本文展示由桃李醉春风记谱记谱的歌谱 青未了,词/曲 紫梦知秋 灰の白,演唱 山猫 九渊…欢迎免费试听青未了乐曲,下载歌曲的乐谱与伴奏。《青未了》文本歌词《青未了》演唱:山猫&九渊和声伴唱:momo作词:紫梦知秋作曲/编曲:灰の白古筝:绘愫二胡:弹棉花的GG分轨混音:宇谦海报:苏笙「◇非樂原创音乐工作...
53 青未了 紫梦知秋本文展示由谱友绿水青山记谱的歌谱 水上人,词/曲 庄奴 左宏元,演唱 范琳琳…欢迎免费试听水上人乐曲,下载歌曲的乐谱与伴奏。...
691 水上人 庄奴 左宏元 范琳琳本文分享来自 交流 的歌谱 吹起小军号(二胡转调练习曲),词/曲 杨会林曲,演唱 王平演奏…欢迎免费下载吹起小军号(二胡转调练习曲)乐谱、乐曲、伴奏,...
620 吹起小军号 杨会林曲 王平演奏本文展示由根据录音记谱记谱的歌谱 童声合唱组歌之三——歌向远方,词/曲 集体 栾凯,演唱 红星童声合唱团…欢迎免费试听童声合唱组歌之三——歌向远方乐曲,下载歌曲的乐谱与伴奏。【曲作者创作灵感】解放军艺术学院参加全军第十届文艺汇演的参赛作品。这是一部童声合唱组歌,分别由《绿色青春》、《冲锋 锋》、《歌...
297 童声合唱组歌之三——歌向远方 集体 栾凯红星童声合唱团 向远本文分享来自 胡贵春 的歌谱 话说安东老街(首创歌曲),词/曲 胡贵春/李红 高福友,演唱 李红…欢迎免费下载话说安东老街(首创歌曲)乐谱、乐曲、伴奏,...
484 话说安东老街 高福友 李红本文展示由桃李醉春风记谱记谱的歌谱 男人的泪,词/曲 章毅 章毅,演唱 姜鹏…欢迎免费试听男人的泪乐曲,下载歌曲的乐谱与伴奏。歌曲试听:http://www.chaodikong.com/article/2011/0905/article_16523.html...
904 男人的泪 章毅 姜鹏本文分享来自 yangbaotian818 的歌谱 陇上杏花第一村(杨彬鹤演唱),词/曲 李志锋 李志锋,演唱 李志锋…欢迎免费下载陇上杏花第一村(杨彬鹤演唱)乐谱、乐曲、伴奏,...
721 陇上杏花第一村 李志锋本文展示由sunzp抄谱记谱的歌谱 七月八月看巧云(张宾普词 程太曲),词/曲 张宾普 程太,演唱 于淑珍…欢迎免费试听七月八月看巧云(张宾普词 程太曲)乐曲,下载歌曲的乐谱与伴奏。...
573 七月八月看巧云 张宾普 程太 于淑珍本文分享来自 关水晶 的歌谱 暖中情长在,词/曲 星星梦 星星梦,演唱 伊宁…欢迎免费下载暖中情长在乐谱、乐曲、伴奏,...
458 暖中情长在 星星梦 伊宁| 留言与评论(共有 0 条评论) |
