名称:生命的过客 孙世彦词曲
国家:中国
作词:孙世彦
作曲:孙世彦
分类:曲谱
子类:歌谱乐谱
类型:简谱
文件格式:jpg


《生命的过客》文本歌词
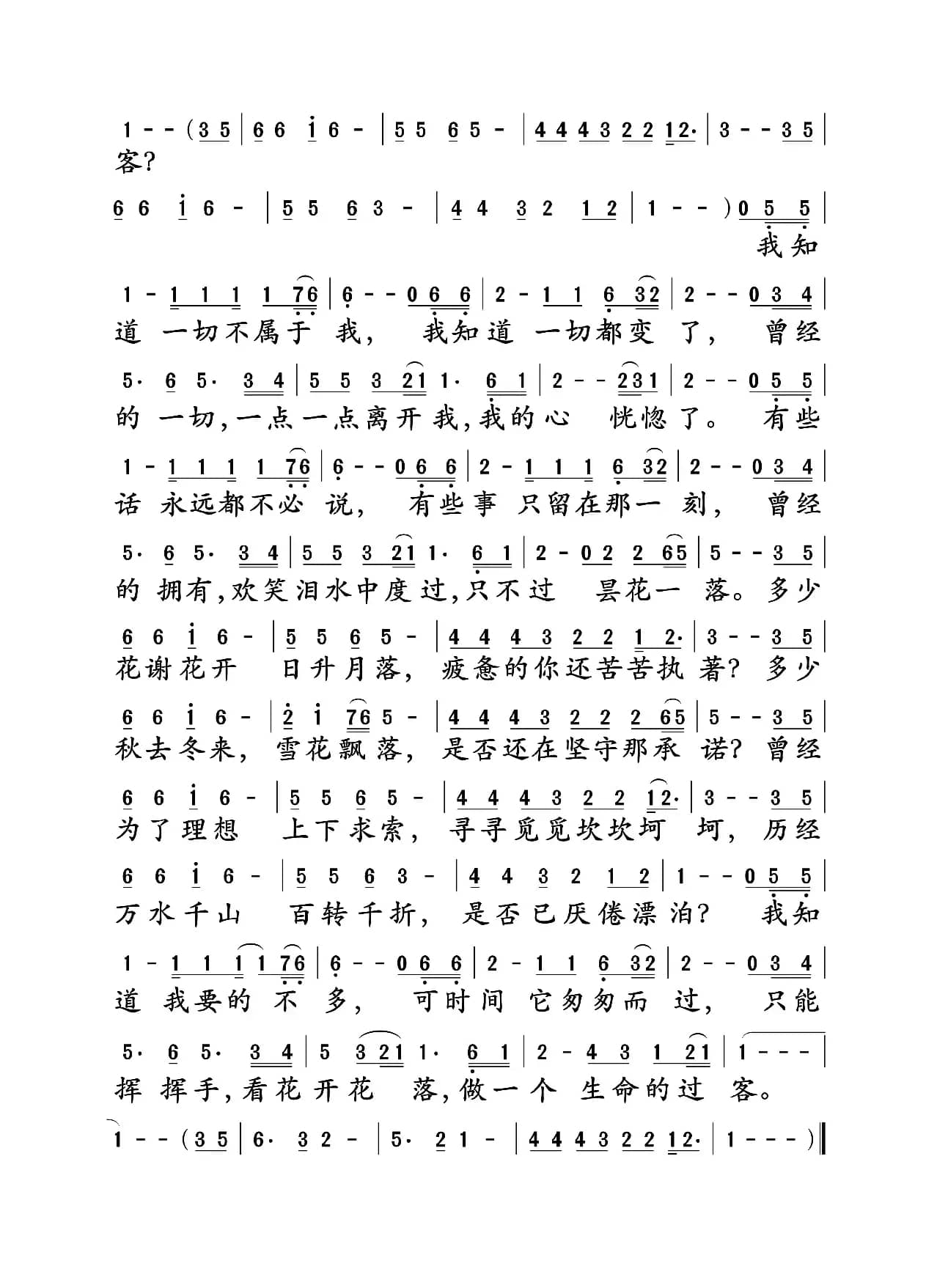
生命的过客
词曲:孙世彦
我知道一切不属于我,
我知道一切都变了,
曾经的一切
一点一点离开我,
我的心恍惚了。
有些话永远都不必说,
有些事只留在那一刻,
曾经的拥有
欢笑泪水中度过,
只不过昙花一落。
多少花谢花开日升月落,
疲惫的你还苦苦执著?
多少秋去冬来
雪花飘落,
是否还在坚守那承诺?
曾经为了理想上下求索,
寻寻觅觅坎坎坷坷,
历经万水千山百转千折,
是否已厌倦漂泊?
我知道我要的不多,
可时间它匆匆而过,
是否只能挥挥手,
看花开花落,
做一个生命的过客?
我知道一切不属于我,
我知道一切都变了,
曾经的一切,
一点一点离开我,
我的心恍惚了。
有些话永远都不必说,
有些事只留在那一刻,
曾经的拥有,
欢笑泪水中度过,
只不过昙花一落。
多少花谢花开日升月落,
疲惫的你还苦苦执著?
多少秋去冬来,
雪花飘落,
是否还在坚守那承诺?
曾经为了理想上下求索,
寻寻觅觅坎坎坷坷,
历经万水千山百转千折,
是否已厌倦漂泊?
我知道我要的不多,
可时间它匆匆而过,
只能挥一挥手,
看花开花落,
做一个生命的过客。











