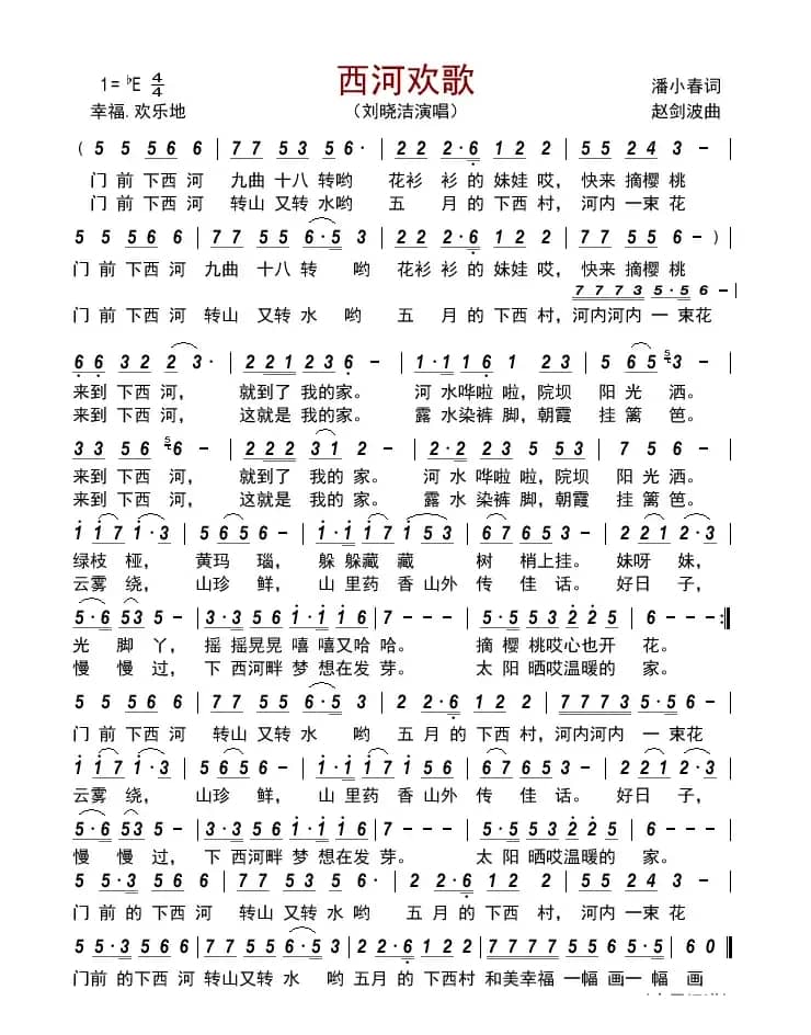
名称:西河欢歌
艺术家:刘晓洁
国家:中国
作词:潘小春
作曲:赵剑波
演唱:刘晓洁
分类:曲谱
子类:歌谱乐谱
类型:简谱
文件格式:jpg

《西河欢歌 》文本歌词
https://wsaudiobssdlbig.yun.kugou.com/202307152257/e68da151a22e4e6a441627f6c1a8434e/bss/extname/wsaudio/bf2a8cc8491790173969fc3a30fc68b9.mp3
门前的下西河哎,九曲十八转哟——花衫衫的妹娃哎,快来摘樱桃啰——
来到下西河,就到了我的家。河水哗啦啦,院坝阳光洒。绿枝桠,黄玛瑙,躲躲藏藏树梢上挂。妹娃们,光脚丫,
摇摇晃晃嘻嘻又哈哈。摘樱桃哎——心也开花。
来到下西河,这就是我的家。露水染裤脚,朝霞挂篱笆。云雾绕,山珍鲜,山里药香山外传佳话。好日子,慢慢过,下西河畔梦想在发芽。太阳晒哎——温暖的家。
门前的下西河哎,转山又转水哟——五月的小山村哎,和美幸福一幅画啰——











