
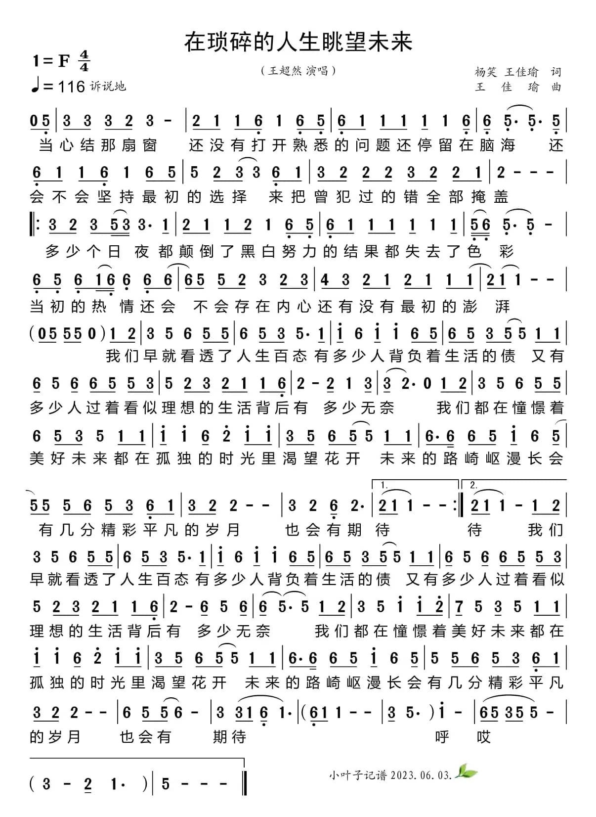
在琐碎的人生眺望未来_歌曲简谱_词曲:杨笑、王佳瑜 王佳瑜简谱歌词是曲谱查询网于2023年02月07日 15:11:56更新在乐谱大全频道中的内容,收录在乐谱大全栏目中;曲谱查询网分享的在琐碎的人生眺望未来_歌曲简谱_词曲:杨笑、王佳瑜 王佳瑜简谱五线谱高清图片,欢迎在线免费下载;曲谱查询网无需注册,即可直接下载海量歌曲谱与乐器学习相关资料。
曲谱查询网收录古今中外海量歌曲谱,如歌曲简谱、乐曲五线谱、PDF乐谱、戏曲谱、器乐相关资源下载等,欢迎查阅!

在琐碎的人生眺望未来_歌曲简谱_词曲:杨笑、王佳瑜 王佳瑜简谱歌词是曲谱查询网于2023年02月07日 15:11:56更新在乐谱大全频道中的内容,收录在乐谱大全栏目中;曲谱查询网分享的在琐碎的人生眺望未来_歌曲简谱_词曲:杨笑、王佳瑜 王佳瑜简谱五线谱高清图片,欢迎在线免费下载;曲谱查询网无需注册,即可直接下载海量歌曲谱与乐器学习相关资料。
本文展示由电视迷制谱记谱的歌谱 情深意长(大型音舞蹈史诗《东方红》选曲),词/曲 王印泉 臧东升,演唱 邓玉华…欢迎免费试听情深意长(大型音舞蹈史诗《东方红》选曲)乐曲,下载歌曲的乐谱与伴奏。...
158 情深意长 王印泉 臧东升邓玉华本篇展示 刘启明的音乐 分享的乐曲谱 下雪的季节(李潇倩 李安敏词 刘启明曲),由李潇倩 李安敏 刘启明 词/曲, 演唱…欢迎免费试听下雪的季节(李潇倩 李安敏词 刘启明曲)乐曲,下载乐谱与伴奏。...
474 下雪的季节 李潇倩 李安敏 刘启明本文展示由合唱歌曲大全记谱的歌谱 蓝色多瑙河(合唱),词/曲 ,演唱 …欢迎免费试听蓝色多瑙河(合唱)乐曲,下载歌曲的乐谱与伴奏。《蓝色多瑙河(合唱)》文本歌词蓝色多瑙河(合唱)[奥]约翰·施特劳斯 曲 普·勃力斯 词...
404 蓝色多瑙河本文展示由记谱记谱的歌谱 梦中的家乡 ,词/曲 尹寿斌 唐跃洲,演唱 李建英…欢迎免费试听梦中的家乡 乐曲,下载歌曲的乐谱与伴奏。《梦中的家乡 》文本歌词梦中有你山水流淌,心中有你雄伟模样,你是生我养我的地方。梦中都是童年时光,我是你的邻里乡亲,你是我夜里甜甜梦香。走过了世界...
898 梦中的家乡 尹寿斌唐跃洲李建英本篇展示 虞淙 分享的乐曲谱 百年之歌,由杜万国 虞淙 词/曲,虞淙 演唱…欢迎免费试听百年之歌乐曲,下载乐谱与伴奏。《百年之歌》文本歌词百年之歌 杜万国词陆地生活了几十年,数不清多少沟和坎。想好了,我的归宿,不在平原,不在山川,我与大海早已结下天缘。不在山川,我与大海早已结下天缘。万骨集葬座座墓...
188 百年之歌 杜万国 虞淙本篇展示 侯卫国 分享的乐曲谱 想你的时候(何也词 侯卫国曲),由何也 侯卫国 词/曲, 演唱…欢迎免费试听想你的时候(何也词 侯卫国曲)乐曲,下载乐谱与伴奏。...
493 想你的时候 何也 侯卫国本文展示由谱友天恩上传记谱的歌谱 兄弟情谊(水浒传背景音乐),词/曲 赵季平,演唱 …欢迎免费试听兄弟情谊(水浒传背景音乐)乐曲,下载歌曲的乐谱与伴奏。...
520 兄弟情谊 赵季平本篇展示 assdsa1000 分享的乐曲谱 几经沧桑(伤感古风),由王明松 罗鹏 词/曲, 演唱…欢迎免费试听几经沧桑(伤感古风)乐曲,下载乐谱与伴奏。...
957 几经沧桑 王明松 罗鹏本篇展示 刘新太 分享的乐曲谱 我想和你在唐诗里约会,由赵凌云 刘新太 词/曲, 演唱…欢迎免费试听我想和你在唐诗里约会乐曲,下载乐谱与伴奏。...
770 我想和你在唐诗里约会 赵凌云 刘新太本文展示由周朝林制谱记谱的歌谱 看大王在帐中和衣睡稳(京剧《霸王别姬》虞姬唱段),词/曲 ,演唱 …欢迎免费试听看大王在帐中和衣睡稳(京剧《霸王别姬》虞姬唱段)乐曲,下载歌曲的乐谱与伴奏。...
680 看大王在帐中和衣睡稳本篇展示 付经振 分享的乐曲谱 给妈妈放个假,由付经振 张永强 词/曲, 演唱…欢迎免费试听给妈妈放个假乐曲,下载乐谱与伴奏。...
298 给妈妈放个假 付经振 张永强本篇展示 天山626 分享的乐曲谱 锄禾(童声合唱),由李绅 李文祥 词/曲,原创 演唱…欢迎免费试听锄禾(童声合唱)乐曲,下载乐谱与伴奏。...
21 锄禾 李绅 李文祥原创本篇展示 袁龙(1) 分享的乐曲谱 银海丝绸之歌,由袁龙 袁龙 词/曲, 演唱…欢迎免费试听银海丝绸之歌乐曲,下载乐谱与伴奏。为银海丝绸公司创作。...
40 银海丝绸之歌 袁龙本文展示由简单吉他制谱记谱的歌谱 借我(吉他六线谱),词/曲 ,演唱 谢春花…欢迎免费试听借我(吉他六线谱)乐曲,下载歌曲的乐谱与伴奏。更多高清图谱,请加QQ:422051287。购琴请认准“简单吉他”官方唯一店,淘宝店铺:简单吉他...
568 借我谢春花本文展示由根据五线谱译谱记谱的歌谱 如梦令(《如梦令·常记溪亭日暮》声乐 简谱/五线谱),词/曲 [宋] 李清照 王超,演唱 …欢迎免费试听如梦令(《如梦令·常记溪亭日暮》声乐 简谱/五线谱)乐曲,下载歌曲的乐谱与伴奏。《如梦令》文本歌词常记溪亭日暮,沉醉不知归路。兴尽晚回舟,误入藕花深处。争渡,争...
944 如梦令 李清照王超| 留言与评论(共有 0 条评论) |
