
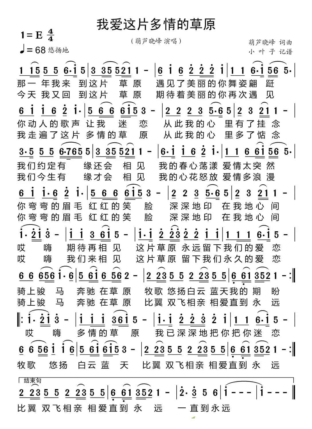
我爱这片多情的草原_歌曲简谱_词曲:葫芦晓峰 葫芦晓峰简谱歌词是曲谱查询网于2023年02月09日 18:11:03更新在乐谱大全频道中的内容,收录在乐谱大全栏目中;曲谱查询网分享的我爱这片多情的草原_歌曲简谱_词曲:葫芦晓峰 葫芦晓峰简谱五线谱高清图片,欢迎在线免费下载;曲谱查询网无需注册,即可直接下载海量歌曲谱与乐器学习相关资料。
曲谱查询网收录古今中外海量歌曲谱,如歌曲简谱、乐曲五线谱、PDF乐谱、戏曲谱、器乐相关资源下载等,欢迎查阅!

我爱这片多情的草原_歌曲简谱_词曲:葫芦晓峰 葫芦晓峰简谱歌词是曲谱查询网于2023年02月09日 18:11:03更新在乐谱大全频道中的内容,收录在乐谱大全栏目中;曲谱查询网分享的我爱这片多情的草原_歌曲简谱_词曲:葫芦晓峰 葫芦晓峰简谱五线谱高清图片,欢迎在线免费下载;曲谱查询网无需注册,即可直接下载海量歌曲谱与乐器学习相关资料。
本篇展示 开花结果多多 分享的乐曲谱 437 人人都有许多过错(开花结果词 福音之歌曲),由开花结果 福音之歌 词/曲,福音之歌|福音之歌 演唱…欢迎免费试听437 人人都有许多过错(开花结果词 福音之歌曲)乐曲,下载乐谱与伴奏。每个人从小到大,都会有做错过事情,但是信耶稣了,彻底改去各样错事情,做...
966 437 人人都有许多过错 开花结果 福音之歌福音之歌|福音之歌本篇展示 黄进军作曲 分享的乐曲谱 大中华(赵富有词 黄进军曲),由赵富有 黄进军 词/曲,祁付勇 演唱…欢迎免费试听大中华(赵富有词 黄进军曲)乐曲,下载乐谱与伴奏。...
101 大中华 赵富有 黄进军祁付勇本文展示由章祥兴制谱记谱的歌谱 再见了,大别山(章祥兴二胡演奏谱),词/曲 雷远生,演唱 …欢迎免费试听再见了,大别山(章祥兴二胡演奏谱)乐曲,下载歌曲的乐谱与伴奏。...
758 再见了 大别山雷远生本篇展示 柏泉 分享的乐曲谱 地球是个小村庄,由柏泉 董天庆 词/曲, 演唱…欢迎免费试听地球是个小村庄乐曲,下载乐谱与伴奏。《地球是个小村庄》文本歌词地球是个小村庄(儿歌)地球是个小村庄,亚非欧美做老乡,牛郎种田银河畔,嫦娥飞到月亮上。捧起土星戴花帽,摘来金星佩胸膛,撑起夜空做花伞,洒下流星冲个凉...
567 地球是个小村庄 柏泉 董天庆本文展示由谱友老骥1上传记谱的歌谱 [莆仙戏]淘金令(《林默娘》选段),词/曲 莆仙戏传统曲牌 ,演唱 吴荃颖…欢迎免费试听[莆仙戏]淘金令(《林默娘》选段)乐曲,下载歌曲的乐谱与伴奏。...
657 [莆仙戏]淘金令 莆仙戏传统曲牌吴荃颖本文展示由文艺小Eager记谱记谱的歌谱 等不到你,词/曲 小7 Double Kick,演唱 鞠婧祎…欢迎免费试听等不到你乐曲,下载歌曲的乐谱与伴奏。2017年5月25日,SNH48鞠婧祎第二张个人EP专辑《等不到你》同名主打曲音源正式首发。《等不到你》是鞠婧祎作为第三届SNH48 年度金曲大赏第...
928 不到你 小7 Double Kick鞠婧祎本篇展示 刘智强 分享的乐曲谱 梦中楼兰(刘昆黎 傅增堂词 刘智强曲 正谱),由刘昆黎 傅增堂 刘智强 词/曲, 演唱…欢迎免费试听梦中楼兰(刘昆黎 傅增堂词 刘智强曲 正谱)乐曲,下载乐谱与伴奏。致谢:《曲谱查询网》衷心感谢作者老师馈赠原版歌谱!...
795 梦中楼兰 刘昆黎 傅增堂 刘智强本文展示由谱友恒流星上传记谱的歌谱 群英会·安排下巧计谋营门不锁(京胡伴奏谱),词/曲 暂无 恒流星制谱,演唱 叶盛兰…欢迎免费试听群英会·安排下巧计谋营门不锁(京胡伴奏谱)乐曲,下载歌曲的乐谱与伴奏。...
237 群英会 安排下巧计谋营门不锁 恒流星叶盛兰本篇展示 包国瑛 分享的乐曲谱 大英雄(田井军词 包国瑛曲),由田井军 包国瑛 词/曲,郝立勇/陈小辉 演唱…欢迎免费试听大英雄(田井军词 包国瑛曲)乐曲,下载乐谱与伴奏。在众多抗日英烈中,吉鸿昌是非常值得我们后代敬仰的一位。在2014年民政昴公布的第一批在抗日战争中顽强奋战为国捐躯的300名著名抗...
655 大英雄 田井军 包国瑛郝立勇 陈小辉本文展示由谱友曲水悠悠上传记谱的歌谱 余年(电视剧《庆余年》插曲),词/曲 吕景亚 陈诗牧,演唱 肖战…欢迎免费试听余年(电视剧《庆余年》插曲)乐曲,下载歌曲的乐谱与伴奏。...
460 余年 吕景亚陈诗牧肖战本文展示由岭南印象记谱的歌谱 花言巧语有何用,词/曲 佚名 佚名,演唱 黎亚…欢迎免费试听花言巧语有何用乐曲,下载歌曲的乐谱与伴奏。《花言巧语有何用》文本歌词佚名词曲黎亚演唱Music…1. 花言巧语有何用,不必给我虚伪爱情,过去的感情债已经还清,啊你我各奔前程。想我们过去的恋情,迷人的情景,让我越...
868 花言巧语有何用黎亚 佚名本文展示由谱友陈尊学上传记谱的歌谱 2人民海军向前进(bE克拉管分谱)军乐线,词/曲 魏群,演唱 …欢迎免费试听2人民海军向前进(bE克拉管分谱)军乐线乐曲,下载歌曲的乐谱与伴奏。...
509 2人民海军向前进军乐线魏群本文展示由Z.E.Z.制作记谱的歌谱 军队和老百姓,词/曲 张达观 张达观,演唱 …欢迎免费试听军队和老百姓乐曲,下载歌曲的乐谱与伴奏。...
949 军队和老百姓 张达观本文展示由谱友冉凡勇上传记谱的歌谱 沁园春雪,词/曲 毛泽东 生茂唐诃,演唱 …欢迎免费试听沁园春雪乐曲,下载歌曲的乐谱与伴奏。...
484 沁园春雪 毛泽东 生茂唐诃| 留言与评论(共有 0 条评论) |
