

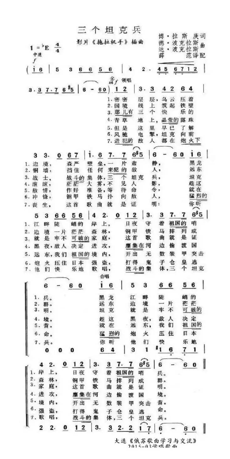
三个坦克兵Три танкиста_歌曲简谱_词曲:博•拉 斯 庚 德•波克拉斯 达•波克拉斯简谱歌词是曲谱查询网于2023年02月27日 07:23:05更新在乐谱大全频道中的内容,收录在乐谱大全栏目中;曲谱查询网分享的三个坦克兵Три танкиста_歌曲简谱_词曲:博•拉 斯 庚 德•波克拉斯 达•波克拉斯简谱五线谱高清图片,欢迎在线免费下载;曲谱查询网无需注册,即可直接下载海量歌曲谱与乐器学习相关资料。
曲谱查询网收录古今中外海量歌曲谱,如歌曲简谱、乐曲五线谱、PDF乐谱、戏曲谱、器乐相关资源下载等,欢迎查阅!


三个坦克兵Три танкиста_歌曲简谱_词曲:博•拉 斯 庚 德•波克拉斯 达•波克拉斯简谱歌词是曲谱查询网于2023年02月27日 07:23:05更新在乐谱大全频道中的内容,收录在乐谱大全栏目中;曲谱查询网分享的三个坦克兵Три танкиста_歌曲简谱_词曲:博•拉 斯 庚 德•波克拉斯 达•波克拉斯简谱五线谱高清图片,欢迎在线免费下载;曲谱查询网无需注册,即可直接下载海量歌曲谱与乐器学习相关资料。
本篇展示 也牧 分享的乐曲谱 爱在心窝里2,由许继荣 徐大为 词/曲, 演唱…欢迎免费试听爱在心窝里2乐曲,下载乐谱与伴奏。...
740 爱在心窝里2 许继荣 徐大为本篇展示 袁龙(1) 分享的乐曲谱 秋天的乐章,由袁龙 袁龙 词/曲, 演唱…欢迎免费试听秋天的乐章乐曲,下载乐谱与伴奏。丹桂香,菊花黄,秋风微微心神旷。远山红叶正斑斓,片片飘在云中央。我在秋天把歌唱,秋天有篇号乐章。《秋天的乐章》文本歌词丹桂香,菊花黄,秋风微微心神旷。远山红叶正斑斓,片片飘在云...
210 秋天的乐章 袁龙本文展示由谱友恒流星上传记谱的歌谱 女起解·苏三离了洪洞县(京胡伴奏谱),词/曲 暂无 恒流星制谱,演唱 梅派…欢迎免费试听女起解·苏三离了洪洞县(京胡伴奏谱)乐曲,下载歌曲的乐谱与伴奏。...
538 女起解 苏三离了洪洞县 恒流星梅派本文展示由古弓记谱的歌谱 圣地阳光 ,词/曲 刘华平 泽朗多杰,演唱 亚罗…欢迎免费试听圣地阳光 乐曲,下载歌曲的乐谱与伴奏。《圣地阳光 》文本歌词https://wsaudiobssdlbig.yun.kugou.com/202310090858/62be...
940 圣地阳光 刘华平泽朗多杰亚罗本文展示由谱友樱花霰弹枪上传记谱的歌谱 斯人何在 正谱(原降A调),词/曲 黄永熙 黄永熙,演唱 …欢迎免费试听斯人何在 正谱(原降A调)乐曲,下载歌曲的乐谱与伴奏。《斯人何在 正谱》文本歌词更阑人静倚窗望,孤星寒月云里藏,景物依然心神往,斯人何在问穹苍。渺茫茫,在何方?伤悲切,泪盈眶!残花凋谢叶枯...
555 斯人何在 正谱 黄永熙黄永熙本篇展示 鲁新华 分享的乐曲谱 请到融水苗寨来,由石作良 鲁新华 词/曲, 演唱…欢迎免费试听请到融水苗寨来乐曲,下载乐谱与伴奏。...
691 请到融水苗寨来 石作良 鲁新华本文展示由谱友落红上传记谱的歌谱 在水一方,词/曲 琼瑶 林家庆,演唱 邓丽君…欢迎免费试听在水一方乐曲,下载歌曲的乐谱与伴奏。...
487 在水一方 琼瑶林家庆邓丽君本文展示由独行侠个人制谱园地记谱的歌谱 真的朋友,词/曲 郑殿鹏 郑殿鹏,演唱 赵云龙&余哲…欢迎免费试听真的朋友乐曲,下载歌曲的乐谱与伴奏。...
1449 真的朋友 郑殿鹏 郑殿鹏赵云龙 余哲本篇展示 刘新太 分享的乐曲谱 烛光摇曳娘娘庙,由徐实民笑笑 刘新太 词/曲, 演唱…欢迎免费试听烛光摇曳娘娘庙乐曲,下载乐谱与伴奏。...
769 烛光摇曳娘娘庙 徐实民笑笑 刘新太本篇展示 高音敏子 分享的乐曲谱 情禁寂寞海,由罗会战 翟拥军 高音敏子 词/曲, 演唱…欢迎免费试听情禁寂寞海乐曲,下载乐谱与伴奏。...MP3试听:http://y.baidu.com/song/396139《情禁寂寞海》文本歌词[00:02.20]情禁寂寞海[00:03.28][00:04.8...
951 情禁寂寞海 罗会战 翟拥军 高音敏子本文展示由曲谱查询网记谱的歌谱 念斗章(《一人之下2》张灵玉角色曲),词/曲 大♂古 erazedfx,演唱 叫ぶ獣…欢迎免费试听念斗章(《一人之下2》张灵玉角色曲)乐曲,下载歌曲的乐谱与伴奏。《念斗章》文本歌词念斗章 —《一人之下2》张灵玉角色曲 作曲 : erazedfx 作词 : 大♂古 编曲...
365 念斗章 大♂古 erazedfx叫ぶ獣本文展示由原创作品记谱的歌谱 金铙山,词/曲 林俊荗 肖桂盛,演唱 …欢迎免费试听金铙山乐曲,下载歌曲的乐谱与伴奏。《金铙山》文本歌词金铙山林俊荗词 肖桂盛曲金铙山索道长,翻山越谷云卷车晃;金铙山隧道暖,穿越千米时空梦幻;金铙山云梯寒,白云顶上闽烛天南;金铙山路弯转,仙人池浅永不干,仙人池浅永不干。...
1108 金铙山 林俊荗 肖桂盛本篇展示 石玉泉 分享的乐曲谱 我从三峡来(詹皓词 石玉泉曲),由詹皓 石玉泉 词/曲,三峡艺术团 演唱…欢迎免费试听我从三峡来(詹皓词 石玉泉曲)乐曲,下载乐谱与伴奏。2009年,为庆祝中华人民共和国建国60周年,中国三峡集团三峡艺术团带着这首歌赴金沙江向家坝、溪洛渡水电工程工地慰问水电建设者和当...
921 我从三峡来 詹皓 石玉泉三峡艺术团本文展示由王wzh制谱记谱的歌谱 寄语多情人,词/曲 琼瑶 古月,演唱 邓丽君…欢迎免费试听寄语多情人乐曲,下载歌曲的乐谱与伴奏。...
206 寄语多情人 琼瑶 古月 邓丽君| 留言与评论(共有 0 条评论) |
