


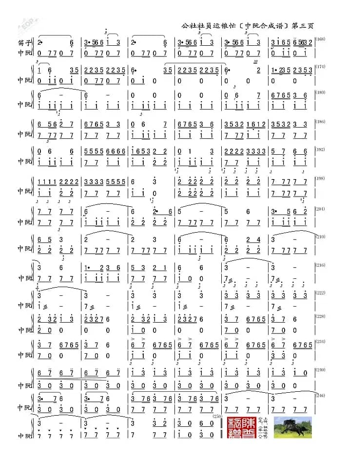
公社社员运粮忙_歌曲简谱_词曲: 编曲:陆金山.冯国泉简谱歌词是曲谱查询网于2023年02月27日 19:55:25更新在乐谱大全频道中的内容,收录在乐谱大全栏目中;曲谱查询网分享的公社社员运粮忙_歌曲简谱_词曲: 编曲:陆金山.冯国泉简谱五线谱高清图片,欢迎在线免费下载;曲谱查询网无需注册,即可直接下载海量歌曲谱与乐器学习相关资料。
曲谱查询网收录古今中外海量歌曲谱,如歌曲简谱、乐曲五线谱、PDF乐谱、戏曲谱、器乐相关资源下载等,欢迎查阅!



公社社员运粮忙_歌曲简谱_词曲: 编曲:陆金山.冯国泉简谱歌词是曲谱查询网于2023年02月27日 19:55:25更新在乐谱大全频道中的内容,收录在乐谱大全栏目中;曲谱查询网分享的公社社员运粮忙_歌曲简谱_词曲: 编曲:陆金山.冯国泉简谱五线谱高清图片,欢迎在线免费下载;曲谱查询网无需注册,即可直接下载海量歌曲谱与乐器学习相关资料。
本文展示由无限延音记谱的歌谱 要不要买菜 卑微小调 吉他谱(无限延音编配),词/曲 ,演唱 …欢迎免费试听要不要买菜 卑微小调 吉他谱(无限延音编配)乐曲,下载歌曲的乐谱与伴奏。...
608 要不要买菜 卑微小调吉他谱本文展示由谱友恒流星上传记谱的歌谱 毛主席诗词·七律·人民解放军占领南京(京胡伴奏谱),词/曲 暂无 恒流星制谱,演唱 送宝罗…欢迎免费试听毛主席诗词·七律·人民解放军占领南京(京胡伴奏谱)乐曲,下载歌曲的乐谱与伴奏。...
530 毛主席诗词 七律 人民解放军占领南京 恒流星送宝罗本文展示由秋叶起舞记谱上传记谱的歌谱 蓝天下的高原,词/曲 吴冬冬 刁勇,演唱 王昭璋…欢迎免费试听蓝天下的高原乐曲,下载歌曲的乐谱与伴奏。《蓝天下的高原》文本歌词蓝天下的高原作词:吴冬冬作曲:刁 勇编曲:汤龙伟演唱:王昭璋总有一片天空是那样干净蔚蓝多少个长夜我多少次期盼那里有雄鹰展翅迂迴盘旋那里...
790 蓝天下的高原 吴冬冬 刁勇王昭璋本文展示由君羊 制谱记谱的歌谱 蝴蝶吻(陈道斌词 孟文豪曲),词/曲 陈道斌 孟文豪,演唱 云菲菲…欢迎免费试听蝴蝶吻(陈道斌词 孟文豪曲)乐曲,下载歌曲的乐谱与伴奏。...
741 蝴蝶吻 陈道斌 孟文豪云菲菲本篇展示 assdsa1000 分享的乐曲谱 清平乐 六盘山(古风),由毛泽东 罗鹏 词/曲, 演唱…欢迎免费试听清平乐 六盘山(古风)乐曲,下载乐谱与伴奏。...
682 清平乐 六盘山 毛泽东 罗鹏本文展示由谱友迪兰特上传记谱的歌谱 醉世客(小曲儿《十念》专辑曲目),词/曲 贰哲 Winky诗,演唱 小曲儿…欢迎免费试听醉世客(小曲儿《十念》专辑曲目)乐曲,下载歌曲的乐谱与伴奏。此生融虚述于方寸薄纸也曾作人间客愿一朝字千金而今烹雪酒 醉卧石笑问黄白两不知着一曲呕哑短笛任清风入我席...
311 醉世客 贰哲 Winky诗小曲儿本文展示由根据录音记谱记谱的歌谱 拥抱新时代(圣哥词 李杰曲),词/曲 圣哥 李杰,演唱 张曼…欢迎免费试听拥抱新时代(圣哥词 李杰曲)乐曲,下载歌曲的乐谱与伴奏。...
74 拥抱新时代 圣哥李杰张曼本文展示由谱友景楼上传记谱的歌谱 我在纳林湖等着你(呼斯楞版)(二胡演奏谱),词/曲 孙德明 孙德明,演唱 景楼演奏…欢迎免费试听我在纳林湖等着你(呼斯楞版)(二胡演奏谱)乐曲,下载歌曲的乐谱与伴奏。...
345 我在纳林湖等着你 孙德明孙德明景楼演奏本篇展示 谷伟峰 分享的乐曲谱 我们的新时代(混声合唱),由朱海 胡延江 词/曲,谷伟峰改编 演唱…欢迎免费试听我们的新时代(混声合唱)乐曲,下载乐谱与伴奏。...
802 我们的新时代 朱海 胡延江谷伟峰改编本篇展示 高远方GSunod 分享的乐曲谱 美丽橄榄坝,由孙华 高绿 词/曲, 演唱…欢迎免费试听美丽橄榄坝乐曲,下载乐谱与伴奏。女声独唱...
10 美丽橄榄坝 孙华 高绿本篇展示 调琴师 分享的乐曲谱 盛世长城(刘博 刘泽湖作品 ),由刘博 刘泽湖 词/曲,朱跃明 演唱…欢迎免费试听盛世长城(刘博 刘泽湖作品 )乐曲,下载乐谱与伴奏。点击 试听 有MP3点击 MV欣赏 有视频。MV欣赏:https://v.youku.com/v_show/id_XNDQ4MTg1...
99 盛世长城 刘博 刘泽湖朱跃明 刘泽湖本文展示由谱友火中莲lily上传记谱的歌谱 调查中(糯米Nomi),词/曲 韩颜儿 金炫道、王鹏,演唱 糯米Nomi…欢迎免费试听调查中(糯米Nomi)乐曲,下载歌曲的乐谱与伴奏。...
539 调查中 韩颜儿 金炫道王鹏糯米Nomi本文展示由谱友空谷清音上传记谱的歌谱 额尔古纳河畔的时光,词/曲 王晓玲 王和声,演唱 乌英噶…欢迎免费试听额尔古纳河畔的时光乐曲,下载歌曲的乐谱与伴奏。...
473 额尔古纳河畔的时光 王晓玲 王和声乌英噶本篇展示 调琴师 分享的乐曲谱 情定黄果树(泽琴),由田韶华 刘泽湖 词/曲, 演唱…欢迎免费试听情定黄果树(泽琴)乐曲,下载乐谱与伴奏。2014年,黄果树征歌。...
985 情定黄果树 田韶华 刘泽湖本文展示由据张健演唱音频记录整理记谱的歌谱 最寂寞的人,词/曲 雨霖枫/易繁 雨霖枫(小雨),演唱 张健…欢迎免费试听最寂寞的人乐曲,下载歌曲的乐谱与伴奏。《最寂寞的人》文本歌词最寂寞的人作词:雨霖枫、易繁作曲:雨霖枫(小雨)演唱:张健编曲:雨霖枫(小雨)秋天的风不经意地吹过眼泪似枯叶一样掉落爱我的...
1184 最寂寞的人 雨霖枫 易繁 雨霖枫张健| 留言与评论(共有 0 条评论) |
