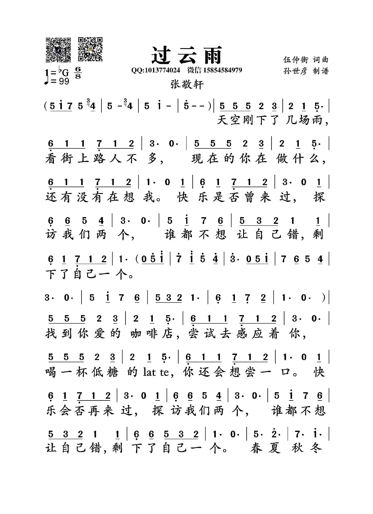
名称:过云雨 伍仲衡词曲
艺术家:张敬轩
国家:中国
作词:伍仲衡
作曲:伍仲衡
演唱:张敬轩
分类:曲谱
子类:歌谱乐谱
类型:简谱
文件格式:jpg


《过云雨 》文本歌词
过云雨 - 张敬轩
词曲:伍仲衡
天空刚下了几场雨,
看街上路人不多,
现在的你在做什么,
还有没有在想我。
快乐是否曾来过,
探访我们两个,
谁都不想让自己错,
剩下了自己一个。
找到了你爱的咖啡店,
尝试去感应着你,
喝一杯低糖的latte,
你还会想尝一口。
快乐会否再来过,
探访我们两个,
谁都不想让自己错,
剩下了自己一个。
春夏秋冬有多少人会走,
春夏秋冬有多少人会留。
传闻你身边有个他,
两个人很快乐吗?
听说你跟他提起我,
是否对我也牵挂?
快乐是否也来过,
探访你们两个?
谁都不想再让你哭,
剩下你自己一个。
春夏秋冬有多少人会走?
春夏秋冬有多少人会留?
外面的雨下得太久,
我的心感觉冷漠,
看到这一场过云雨,
你是否会想起我?











