
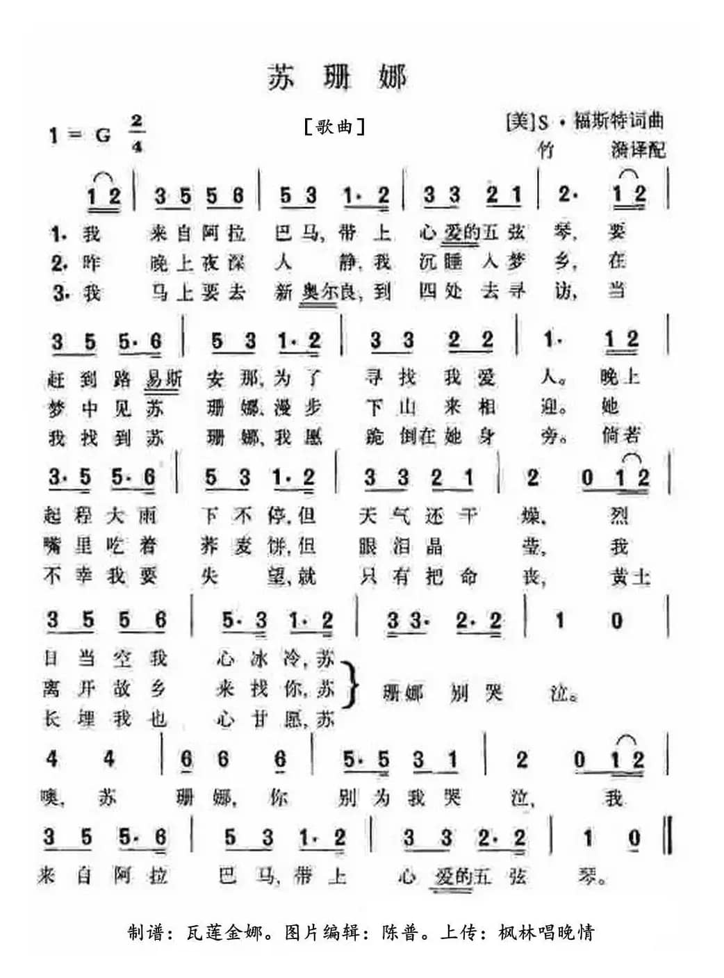
哦,苏姗娜_歌曲简谱_词曲: [美]S·福斯特词曲、竹漪译配版简谱歌词是曲谱查询网于2023年03月09日 22:17:36更新在乐谱大全频道中的内容,收录在乐谱大全栏目中;曲谱查询网分享的哦,苏姗娜_歌曲简谱_词曲: [美]S·福斯特词曲、竹漪译配版简谱五线谱高清图片,欢迎在线免费下载;曲谱查询网无需注册,即可直接下载海量歌曲谱与乐器学习相关资料。
曲谱查询网收录古今中外海量歌曲谱,如歌曲简谱、乐曲五线谱、PDF乐谱、戏曲谱、器乐相关资源下载等,欢迎查阅!

哦,苏姗娜_歌曲简谱_词曲: [美]S·福斯特词曲、竹漪译配版简谱歌词是曲谱查询网于2023年03月09日 22:17:36更新在乐谱大全频道中的内容,收录在乐谱大全栏目中;曲谱查询网分享的哦,苏姗娜_歌曲简谱_词曲: [美]S·福斯特词曲、竹漪译配版简谱五线谱高清图片,欢迎在线免费下载;曲谱查询网无需注册,即可直接下载海量歌曲谱与乐器学习相关资料。
本文展示由沈公宝 记谱记谱的歌谱 清照吟,词/曲 寇育慧 粱永生,演唱 文希…欢迎免费试听清照吟乐曲,下载歌曲的乐谱与伴奏。...
304 清照吟 寇育慧 粱永生文希本文展示由谱友瓦莲金娜上传记谱的歌谱 苏格兰的蓝铃花,词/曲 苏格兰民歌,演唱 …欢迎免费试听苏格兰的蓝铃花乐曲,下载歌曲的乐谱与伴奏。《苏格兰的蓝铃花》文本歌词苏格兰的蓝铃花苏格兰民歌钟立民 译配邓映易译配...
512 苏格兰的蓝铃花 苏格兰民歌本篇展示 邱qyhlyg 分享的乐曲谱 最美花都我家乡,由池宝柱 邱彦鸿 词/曲,邱彦鸿 演唱…欢迎免费试听最美花都我家乡乐曲,下载乐谱与伴奏。...
767 最美花都我家乡 池宝柱 邱彦鸿邱彦鸿本篇展示 吴来亭 分享的乐曲谱 赠别,由杜牧 吴来亭 词/曲, 演唱…欢迎免费试听赠别乐曲,下载乐谱与伴奏。《赠别》文本歌词赠别多情却似总无情,唯觉尊前笑不成。蜡烛有心还惜别,替人垂泪到天明。...
84 赠别 杜牧 吴来亭本文展示由谱友海内老人上传记谱的歌谱 图牧吉之夏,词/曲 王玉庆 / 邢力钧 包永胜,演唱 包永胜…欢迎免费试听图牧吉之夏乐曲,下载歌曲的乐谱与伴奏。...
112 图牧吉之夏 王玉庆 邢力钧 包永胜包永胜本篇展示 陈大春 分享的乐曲谱 你是一朵花(男女声对唱),由时夫宝 陈大春 词/曲, 演唱…欢迎免费试听你是一朵花(男女声对唱)乐曲,下载乐谱与伴奏。...
261 你是一朵花 时夫宝 陈大春本篇展示 侯卫国 分享的乐曲谱 流浪的心(马强词 侯卫国曲),由马强 侯卫国 词/曲, 演唱…欢迎免费试听流浪的心(马强词 侯卫国曲)乐曲,下载乐谱与伴奏。...
635 流浪的心 马强 侯卫国本篇展示 谢伟 分享的乐曲谱 为祖国母亲喝彩(安达词 谢伟曲、合唱),由安达 谢伟 词/曲, 演唱…欢迎免费试听为祖国母亲喝彩(安达词 谢伟曲、合唱)乐曲,下载乐谱与伴奏。...
756 为祖国母亲喝彩 安达 谢伟 祖国本篇展示 刘顶柱 分享的乐曲谱 爱在华盾,由张富奎 刘顶柱 赛音 词/曲,王丽达 演唱…欢迎免费试听爱在华盾乐曲,下载乐谱与伴奏。《爱在华盾》文本歌词《爱在华盾 》我多想捧一朵祁连山顶圣洁的雪花,妆扮白衣天使美丽的芳华;我多想剪一片七彩壮美的丹霞,助推万千学子追梦到天涯。踏歌丝路繁华,爱已出发,链接...
932 爱在华盾 张富奎 刘顶柱 赛音王丽达本文展示由根据录音记谱记谱的歌谱 回首(汤昭智词 刘畅曲),词/曲 汤昭智 刘畅,演唱 王喆…欢迎免费试听回首(汤昭智词 刘畅曲)乐曲,下载歌曲的乐谱与伴奏。...
958 回首 汤昭智 刘畅王喆本文展示由《乌克兰歌曲选集》(双语版)记谱的歌谱 挖呀,挖水井,词/曲 ,演唱 …欢迎免费试听挖呀,挖水井乐曲,下载歌曲的乐谱与伴奏。《挖呀,挖水井》文本歌词挖呀,挖水井乌克兰民歌禾 青 译配...
127 挖呀 挖水井本文展示由岭南印象记谱的歌谱 两相依,词/曲 狄薏 中野忠晴,演唱 韩宝仪…欢迎免费试听两相依乐曲,下载歌曲的乐谱与伴奏。《两相依》文本歌词狄薏词中野忠晴曲韩宝仪演唱Music…1. 晚风起夕阳低柳摇曳,徘徊在花荫柳堤有谁两相依。晴空万里北雁向南飞穿过了画楼西,早已知道音讯稀不会有好音寄。两相依,两...
761 两相依 狄薏中野忠晴韩宝仪本文展示由王wzh 制谱记谱的歌谱 民族声乐考级歌曲:走西口(陕西民歌),词/曲 陕西民歌 陕西民歌,演唱 …欢迎免费试听民族声乐考级歌曲:走西口(陕西民歌)乐曲,下载歌曲的乐谱与伴奏。民族声乐考级歌曲...
526 民族声乐考级歌曲 走西口 陕西民歌本文展示由桃李醉春风记谱记谱的歌谱 胭脂泪(阿悄词曲),词/曲 阿悄 阿悄,演唱 阿悄…欢迎免费试听胭脂泪(阿悄词曲)乐曲,下载歌曲的乐谱与伴奏。《胭脂泪》文本歌词胭脂泪-阿悄词:阿悄曲:阿悄编曲:张坚坚那悲伤还是蛰伏在前路那山林蔓延归途没结束不害怕背负痛楚试着去领悟那是我们余生的天赋拿一天的...
975 胭脂泪 阿悄 阿悄阿悄| 留言与评论(共有 0 条评论) |
