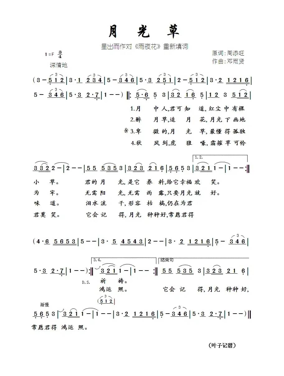
星出而作对《夜雨花》重新填词

月光草_歌曲简谱_词曲:星出而作 邓雨贤简谱歌词是曲谱查询网于2023年03月12日 05:31:09更新在乐谱大全频道中的内容,收录在乐谱大全栏目中;曲谱查询网分享的月光草_歌曲简谱_词曲:星出而作 邓雨贤简谱五线谱高清图片,欢迎在线免费下载;曲谱查询网无需注册,即可直接下载海量歌曲谱与乐器学习相关资料。
曲谱查询网收录古今中外海量歌曲谱,如歌曲简谱、乐曲五线谱、PDF乐谱、戏曲谱、器乐相关资源下载等,欢迎查阅!
星出而作对《夜雨花》重新填词

月光草_歌曲简谱_词曲:星出而作 邓雨贤简谱歌词是曲谱查询网于2023年03月12日 05:31:09更新在乐谱大全频道中的内容,收录在乐谱大全栏目中;曲谱查询网分享的月光草_歌曲简谱_词曲:星出而作 邓雨贤简谱五线谱高清图片,欢迎在线免费下载;曲谱查询网无需注册,即可直接下载海量歌曲谱与乐器学习相关资料。
本文展示由搜谱网记谱的歌谱 原乡人(梦之旅组合),词/曲 庄奴 汤尼,演唱 梦之旅组合…欢迎免费试听原乡人(梦之旅组合)乐曲,下载歌曲的乐谱与伴奏。...
905 原乡人 庄奴汤尼梦之旅组合本篇展示 景治(作曲) 分享的乐曲谱 铁人之城,由王璟 王延龙 景治 词/曲,韩传芳 演唱…欢迎免费试听铁人之城乐曲,下载乐谱与伴奏。...
825 铁人之城 王璟 王延龙 景治韩传芳本文展示由个人制谱记谱的歌谱 平安奇妙物语(手机游戏《阴阳师》同人曲),词/曲 千月兔 IRiS七叶,演唱 泠鸢yousa / KBShinya / 佑可猫 / 玄觞 / 云の泣 / 奇然 / Mario /…欢迎免费试听平安奇妙物语(手机游戏《阴阳师》同人曲)乐曲,下载歌曲的乐谱与伴奏。...
1431 平安奇妙物语 千月兔 IRiS七叶泠鸢yousa KBShinya 佑可猫 玄觞 云の泣 奇然本文展示由章祥兴制谱记谱的歌谱 江南小镇(二胡分谱),词/曲 金复载作曲、章祥兴配器,演唱 …欢迎免费试听江南小镇(二胡分谱)乐曲,下载歌曲的乐谱与伴奏。...
215 江南小镇 金复载作曲 章祥兴配器本篇展示 交流 分享的乐曲谱 觅食的小鸟(二胡练习曲),由 杨会林曲 词/曲,石礼演奏 演唱…欢迎免费试听觅食的小鸟(二胡练习曲)乐曲,下载乐谱与伴奏。...
405 觅食的小鸟 杨会林曲石礼演奏本文展示由桃李醉春风记谱记谱的歌谱 江湖隐,词/曲 古枫(文金涛) 诗韵雅歌(雨儿),演唱 臻言…欢迎免费试听江湖隐乐曲,下载歌曲的乐谱与伴奏。《江湖隐》文本歌词臻言 - 江湖隐词:古枫(文金涛)曲:诗韵雅歌(雨儿)红尘寥落暗江天辗转又经年荒原策马华山吟剑是处也拳拳淡扫风烟五湖去紫墨对琴弦仙迹悠悠行...
398 江湖隐 古枫 诗韵雅歌臻言本文展示由桃李醉春风记谱记谱的歌谱 锦年,词/曲 家家 家家,演唱 宇晗 家家…欢迎免费试听锦年乐曲,下载歌曲的乐谱与伴奏。《锦年》文本歌词锦年-宇晗&家家[男]作词:家家作曲:家家晓风去的伏暑归零落的尘土谁轻轻拨弄了苦楚又伏案夜啼哭窗棂时有时无梦中有人轻归宿尘烟袅袅浮浮已亡佚的泅渡闻不清谁曾经落步...
172 锦年 家家 宇晗本文展示由谱友云漪嫣然上传记谱的歌谱 清心音·乱魄抄(电视剧《陈情令》插曲),词/曲 林海,演唱 林海…欢迎免费试听清心音·乱魄抄(电视剧《陈情令》插曲)乐曲,下载歌曲的乐谱与伴奏。...
444 清心音 乱魄抄林海林海本文展示由江枫粤乐工作室记谱的歌谱 断肠梦,词/曲 黎彼得 许冠杰,演唱 许冠杰…欢迎免费试听断肠梦乐曲,下载歌曲的乐谱与伴奏。...
157 断肠梦 黎彼得许冠杰许冠杰本文展示由谱友大连家乡好上传记谱的歌谱 星辰Звезды(中俄简谱),词/曲 谢.叶赛宁 伊.乌曼斯基,演唱 …欢迎免费试听星辰Звезды(中俄简谱)乐曲,下载歌曲的乐谱与伴奏。...
825 谢叶赛宁 伊乌曼斯基本文展示由许仙大官人制谱记谱的歌谱 大鱼(古筝谱),词/曲 尹约 钱雷,演唱 紫格哈哈…欢迎免费试听大鱼(古筝谱)乐曲,下载歌曲的乐谱与伴奏。...
327 大鱼 尹约钱雷紫格哈哈本文展示由剑文音乐记谱的歌谱 少年梦(童声独唱),词/曲 刘侠 王思新,演唱 …欢迎免费试听少年梦(童声独唱)乐曲,下载歌曲的乐谱与伴奏。...
873 少年梦 刘侠 王思新本文展示由根据MV记谱记谱的歌谱 飞(电视剧《麻雀》主题曲),词/曲 谭旋 谭旋,演唱 韩磊…欢迎免费试听飞(电视剧《麻雀》主题曲)乐曲,下载歌曲的乐谱与伴奏。...
226 飞 谭旋 韩磊本文展示由个人收藏记谱的歌谱 喊一声北大荒(无伴奏合唱),词/曲 蒋开儒 伍嘉冀 杨人翊 编合唱,演唱 北京北大荒合唱团…欢迎免费试听喊一声北大荒(无伴奏合唱)乐曲,下载歌曲的乐谱与伴奏。《喊一声北大荒》,他以独特的视角,展示了北大荒人粗犷豪放,黑土地辽阔无垠的特写镜头,当年的荒凉,已变成了连天麦浪...
323 喊一声北大荒 蒋开儒 伍嘉冀 杨人翊编合唱北京北大荒合唱团| 留言与评论(共有 0 条评论) |
